Расстояние между двумя точками на плоскости
Каждая точка А плоскости характеризуется своими координатами (х, у). Они совпадают с координатами вектора 0А, выходящего из точки 0 — начала координат .
Пусть А и В — произвольные точки плоскости с координатами (х1 y1) и (х2, у2) соответственно.
Тогда вектор AB имеет, очевидно, координаты (х2 — х1, y2 — y1). Известно, что квадрат длины вектора равен сумме квадратов его координат. Поэтому расстояние d между точками А и В, или, что то же самое, длина вектора АВ, определяется из условия
d2 = (х2 — х1)2 + (y2 — y1)2.
Отсюда
$$ d = \sqrt{(x_2 — x_1)^2 + (y_2 — y_1)^2} $$Полученная формула позволяет находить расстояние между любыми двумя точками плоскости, если только известны координаты этих точек
Каждый раз, говоря о координатах той или иной точки плоскости, мы имеем в виду вполне определенную систему координат х0у. А вообще-то систему координат на плоскости можно выбирать по-разному. Так, вместо системы координат х0у можно рассмотреть систему координат хִу , которая получается в результате поворота старых осей координат вокруг начальной точки 0 против часовой стрелки на угол α.
Если некоторая точка плоскости в системе координат х0у имела координаты (х, у), то в новой системе координат хִу она будет иметь уже другие координаты (х, у).
В качестве примера рассмотрим точку М, расположенную на оси 0х и отстоящую от точки 0 на расстоянии, равном 1.
Очевидно, что в системе координат x0у эта точка имеет координаты (cos α, sin α), а в системе координат хִу координаты (1,0).
Координаты любых двух точек плоскости А и В зависят от того, как в этой плоскости задана система координат. А вот расстояние между этими точками не зависит от способа задания системы координат.
razdupli.ru
2.2.2. Расстояние между двумя точками на плоскости
Даны две точки на плоскости с координатами A (x1, y1) и B (x2, y2).
Y
y2B
y1A C
0 x1 x2 XИз треугольника ABC:
.
,
— формулы для нахождения координат
середины отрезка.
2.2.3. Общее уравнение прямой
Теорема 1.Всякое невырожденное уравнение первой степени с двумя переменными определяет на плоскости некоторую прямую, и наоборот.
Аx+Вy+С=0 — общее уравнение прямой,

Рассмотрим различные случаи расположения прямой на плоскости в зависимости от коэффициентов общего уравнения.
1) С = 0, Ax + By = 0 — прямая проходит через начало координат;
А= 0,By+C= 0 — прямая проходит параллельно осиОХ;
В= 0,Ax+C= 0 — прямая проходит параллельно осиОУ;
2) A = C= 0,By= 0 — прямая совпадает с осьюОХ;
B = C =0,Ax= 0 — прямая совпадает с осьюОУ.
Расстояние от точки M0 (x0,y0) до прямой, заданной общим уравнениемAx +
By + C= 0, находится по формуле
.
2.2.4. Уравнение прямой с угловым коэффициентом
Предположим, что прямая расположена под углом jк осиОХи отсекает от осиОУотрезок вbединиц. Составим уравнение этой прямой.

Возьмем произвольную точку M (x, y), лежащую на этой прямой, инайдем уравнение, связывающее переменные x и y. Из рисунка видно:AM = AN + NM, где AM = y, AN = b. Из треугольника BMN: MN = BN · tg j.Обозначим tg j = k и назовем его угловым коэффициентом прямой.MN
2.2.5. Уравнение прямой, проходящей
через данную точку в данном направлении
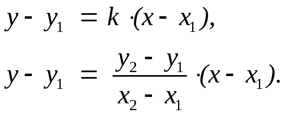
Предположим, что прямая проходит через точку M1(x1,y1) и образует с осьюOX
угол j. Составим уравнение этой прямой.

Y
y M(x,y)
у1 M1(x1,y1)N
j
0 х1 х Х
Будем искать уравнение прямой в виде уравнения с угловым коэффициентом:y = k · x + b. Угловой коэффициент прямой можно найти, зная угол наклонаk =tgj. Возьмем произвольную точкуM (x, y), лежащую на этой прямой, и найдем уравнение, связывающее переменныеxиy. Так как точкиМиM1лежат на прямой, то их координаты удовлетворяют уравнению прямой:y = k · x + b,y1 = k · x1 +
y — y1 = k · (x — x1) — уравнение прямой, проходящей через данную точку в данном направлении.
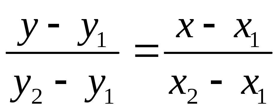
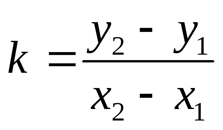
2.2.6. Уравнение прямой, проходящей через две данные точки
Даны две точки M1 (x1, y1) иM2 (x2, y2). Составим уравнение прямой, проходящей через две эти точки,

— угловой коэффициент
прямой, проходящей через две данные
точки.
Воспользуемся
уравнением прямой, проходящей через
данную точку M1 и в данномнаправлении
:

получим
— уравнение
прямой, проходящей через две данные
точки.
2.2.7. Угол между двумя прямыми. Условие параллельности. Условие перпендикулярности прямых
Определение 1.Углом между двумя прямымиIиIIназываетсяугол, отсчитываемый в положительном направлении от прямой I к прямой II.
II
I
Пусть даны две прямые, заданные уравнениями с угловыми коэффициентами
y = k1 · x + b1, y = k2 ·
Найдем угол между первой и второй прямыми. Обозначим углы наклона прямых φ1 и φ2. Тогда
k1 = tgφ1, k2 = tgφ2.
Проведем через точку пересечения прямую, параллельную оси OX.


— формула для вычисления угла между двумя прямыми.
1. Предположим, что прямые параллельны:
ÞtgÞ
k1 = k2 — условие параллельности прямых.
2. Предположим, что прямые перпендикулярны:
0Þtgне существуетÞctg
= 0ÞÞ k1 · k2 = -1 — условие перпендикулярности прямых
Вопросы для самопроверки.
1. Как выглядит общее уравнение прямой7 Опишите частные случаи этого уравнения.
2. Условие параллельности прямых.
3. Условие перпендикулярности прямых.
4. Напишите уравнение прямой с угловым коэффициентом.
5. Напишите уравнение прямой, проходящей через данные точки.
Резюме.
studfile.net
Формула расстояния между точками | Треугольники
Формула для нахождения расстояния между двумя точками A(x1;x2) B(x2;y2) на плоскости:
Доказательство:
Сначала рассмотрим частные случаи.
1) Если y1=y2,
то
К этой же формуле придём, если подставим координаты точек A и B в общую формулу:
2) Аналогично, если x1=x2:
Эту же формулу получим, подставив координаты A и B в общую формулу:
3) Если x1=x2 и y1=y2, AB=0. Формула для этого случая также верна.
4) Если x1≠x2, y1≠y2.
Проведём через точки A и B прямые, перпендикулярные координатным осям. Обозначим точку пересечения этих прямых через C.
Из прямоугольного треугольника ABC по теореме Пифагора
Поскольку
или
Отсюда
Что и требовалось доказать.
www.treugolniki.ru
Расстояние между двумя точками на поверхности Земли: yu_xuan — LiveJournal
Представим, что для чего-то понадобилось измерить расстояние между двумя точками на поверхности Земли, например, расстояние между Красной площадью и Эрмитажем. Конечно, можно попробовать решить задачу в лоб и посчитать евклидово расстояние по формуле:

но этот подход не заработает по той простой причине, что евклидова метрика предназначена для вычисления расстояния на плоскости, а поверхность Земли — это всё-таки фигура, очень близкая к сфере.
Для решения такой задачи нужно обратиться к редко используемым тригонометрическим функциям.
Одна из таких функций, называется синус-верзус, или, по-другому, версинус. Он представляет собой расстояние от центральной точки дуги, измеряемой удвоенным данным углом, до центральной точки хорды, стягивающей дугу. Вычисляется версинус по формуле:

Гаверсинус — это просто половина версинуса, и именно эта функция поможет нам в решении задачи с поиском расстояния:

Для любых двух точек на сфере гаверсинус центрального угла между ними вычисляется по формуле:

В этой формуле:
- d — это центральный угол между двумя точками, лежащими на большом круге
- r — радиус сферы
- φ₁ и φ₂ — широта первой и второй точек в радианах
- λ₁ и λ₂ — долгота первой и второй точек в радианах
Обозначим временно гаверсинус отношения длины к радиусу как переменную h:

Тогда длину d можно вынести за знак равенства:

а для того, чтобы избавиться от дроби, выразим гаверсинус через арксинус:

затем раскроем переменную h:

подставим формулу гаверсинуса и получаем формулу вычисления расстояния:

Теперь вернёмся к исходной задаче поиска расстояния между Красной площадью и Эрмитажем.
Для Красной площади Гугл подсказал координаты (55.7539° N, 37.6208° E), а для Эрмитажа — (59.9398° N, 30.3146° E).
Прежде, чем подставлять координаты в формулу, их нужно перевести в радианы.Для того, чтобы вычислить длину, в соответствии с формулой, нужно полученное значение арксинуса умножить на два радиуса сферы. Подсчёты усложняет тот факт, что Земля не является идеальной сферой и её радиус немного варьируется. Воспользуемся усреднённым значением радиуса, который, в соответствии со стандартом WGS84 приблизительно равен 6371км:

Произведя умножение, получаем искомое значение, которое приблизительно равно 634.57 км.
Кстати, из-за того, что Земля — не идеальная сфера, погрешность расчётов с использованием этой формулы, составляет около 0,5%.
yu-xuan.livejournal.com
Расстояние между двумя точками на прямой
Расстояние между двумя точками на координатной прямой равно модулю разности их координат.
Формула расстояния между точками на координатной прямой:
AB = |a — b|,
где A и B – это произвольные точки, расстояние между которыми надо найти, то есть, найти длину отрезка AB, a и b – координаты точек.
Выражение |a — b| можно заменить выражением |b — a|, так как a — b и b — a являются противоположными числами и их модули равны.
Следовательно, чтобы найти расстояние между точками координатной прямой надо из координаты одной точки вычесть координату другой точки.
Пример 1. Найти расстояние между точками L(-3) и M(5), отмеченными на координатной прямой.
Решение. Чтобы найти расстояние между точками L и M надо из координаты точки L вычесть координату точки M или наоборот, а в качестве ответа взять модуль полученного результата:
|-3 — 5| = |-8| = 8 или |5 — (-3)| = |5 + 3| = 8

Ответ. Расстояние между точками L и M равно 8.
Пример 2. Найдите координаты середины отрезка AB, если A(-5) и B(5).
Решение. Обозначим середину отрезка точкой C. Так как C – середина отрезка AB, то |AC| = |CB|. Значит, чтобы найти координату точки C, надо сначала вычислить длину отрезка AB и разделить её на 2, то есть, на две равные части AC и CB:
AB = |-5 — 5| = |-10| = 10
10 : 2 = 5, значит |AC| = |CB| = 5
Как видно из чертежа, чтобы найти координату середины отрезка, надо половину длины отрезка либо прибавить к точке с наименьшей координатой, либо отнять от точки с наибольшей координатой:
-5 + 5 = 0 или 5 — 5 = 0
Ответ. Координата середины отрезка C(0).
Пример 3. Найдите координату точки C, которая является серединой отрезка с концами в точках A(7) и B(25).
Решение.
AB = |7 — 25| = |-18| = 18
AC = CB = 18 : 2 = 9
7 + 9 = 16 или 25 — 9 = 16
Ответ. Координата точки C – 16.
naobumium.info
Расстояние между двумя точками.
⇐ ПредыдущаяСтр 2 из 18Следующая ⇒
Пусть задана прямоугольная система координат.
Теорема 1.1.Для любых двух точек М1(х1;у1) и М2(х2;у2) плоскости расстояние d между ними выражается формулой
d =
(3)
Доказательство.Опустим из точек М1 и М2 перпендикуляры М1В и М2А соответственно
на оси Оу и Ох и обозначим через К точку пересечения прямых М1В и М2А (рис. 1.4). Возможны следующие случаи:
1)Точки М1, М2 и К различны. Очевидно, что точка К имеет координаты (х2;у1). Нетрудно заметить что М1К = ôх2 – х1ô, М2К = ôу2 – у1ô. Т.к. ∆М1КМ2 прямоугольный, то по теореме Пифагора d = М1М2 =
=
.
2) Точка К совпадает с точкой М2, но отлична от точки М1 (рис. 1.5). В этом случае у2 = у1
и d = М1М2 = М1К = ôх2 – х1ô=
=
=
.
3) Точка К совпадает с точкой М1, но отлична от точки М2 . В этом случае х2 = х1 и d =
М1М2 = КМ2 = ôу2— у1ô=
=
.
4) Точка М2 совпадает с точкой М1. Тогда х1 = х2 , у1 = у2 и
d = М1М2 = О =
.
Деление отрезка в данном отношении.
Пусть на плоскости дан произвольный отрезок М1М2 и пусть М ─ любая точка этого
отрезка, отличная от точки М2 (рис. 1.6). Число l, определяемое равенством l =
, называется отношением,в котором точка М делит отрезок М1М2.
Теорема 1.2.Если точка М(х;у) делит отрезок М1М2 в отношении l, то координаты этой определяются формулами
х =
, у =
,(4)
где (х1;у1) ─ координаты точки М1, (х2;у2) ─ координаты точки М2.
Доказательство.Докажем первую из формул (4). Вторая формула доказывается аналогично. Возможны два случая.
1) Прямая М1М2 перпендикулярна оси Ох. Тогда х1 = х = х2 и поэтому
х = х1 =
=
=
.
2) Прямая М1М2 не перпендикулярна оси Ох (рис. 1.6). Опустим перпендикуляры из точек М1, М, М2 на ось Ох и обозначим точки их пересечения с осью Ох соответственно Р1, Р, Р2. По теореме о пропорциональных отрезках
= l.
Т.к. Р1Р = ôх – х1ô, РР2 = ôх2 – хô и числа (х – х1) и (х2 – х) имеют один и тот же знак (при х1 < х2 они положительны, а при х1 > х2 отрицательны), то
l =
=
,
х – х1 = l(х2 – х), х + lх = х1 + lх2,
х =
.
Следствие 1.2.1.Если М1(х1;у1) и М2(х2;у2) ─ две произвольные точки и точка М(х;у) ─ середина отрезка М1М2, то
х =
, у =
(5)
Доказательство. Так как М1М = М2М, то l = 1 и по формулам (4) получаем формулы (5).
Площадь треугольника.
Теорема 1.3.Для любых точек А(х1;у1), В(х2;у2) и С(х3;у3), не лежащих на одной
прямой, площадь S треугольника АВС выражается формулой
S =
ô(х2 – х1)(у3 – у1) – (х3 – х1)(у2 – у1)ô (6)
Доказательство.Площадь ∆ АВС, изображённого на рис. 1.7, вычисляем следующим
образом:
SABC = SADEC + SBCEF – SABFD.
Вычисляем площади трапеций:
SADEC =
,
SBCEF = 
SABFD = 
Теперь имеем
SABC =
((х3 – х1)(у3 + у1) + (х3 – х2)(у3 + у2) — (х2 – -х1)(у1 + у2)) =
(х3у3 – х1у3 + х3у1 – х1у1+ + х2у3 – -х3у3 + х2у2 – х3у2 – х2у1 + х1у1 – х2у2 + х1у2) =
(х3у1 – х3у2 + х1у2 – х2у1 + х2у3 –
— х1у3) =
(х3(у1 – у2) + х1у2 – х1у1 + х1у1 – х2у1 + у3(х2 – х1)) =
(х1(у2 – у1) – х3(у2 – у1) + +у1(х1 – х2) – у3(х1 – х2)) =
((х1 – х3)(у2 – у1) + (х1 – х2)(у1 – у3)) =
((х2 – х1)(у3 – у1) –
— (х3 – х1)(у2 – у1)).
Для другого расположения ∆ АВС формула (6) доказывается аналогично, но может получиться со знаком «-». Поэтому в формуле (6) ставят знак модуля.
Лекция 2.
Уравнение прямой линии на плоскости: уравнение прямой с главным коэффициентом, общее уравнение прямой, уравнение прямой в отрезках, уравнение прямой, проходящей через две точки. Угол между прямыми, условия параллельности и перпендикулярности прямых на плоскости.
2.1. Пусть на плоскости задана прямоугольная система координат и некоторая линия L.
Определение 2.1.Уравнение вида F(x;y) = 0, связывающее переменные величины x и y, называется уравнение линии L(в заданной системе координат), если этому уравнению удовлетворяют координаты любой точки, лежащей на линии L, и не удовлетворяют координаты никакой точки, не лежащей на этой прямой.
Примеры уравнений линий на плоскости.
1) Рассмотрим прямую, параллельную оси Oy прямоугольной системы координат (рис. 2.1). Обозначим буквой A точку пересечения этой прямой с осью Ox, (a;o) ─ её ор-
динаты. Уравнение x = a является уравнением данной прямой. Действительно, этому уравнению удовлетворяют координаты любой точки M(a;y) этой прямой и не удовлетворяют координаты ни одной точки, не лежащей на прямой. Если a = 0, то прямая совпадает с осью Oy, которая имеет уравнение x = 0.
2) Уравнение x — y = 0 определяет множество точек плоскости, составляющих биссектрисы I и III координатных углов.
3) Уравнение x2 — y2 = 0 ─ это уравнение двух биссектрис координатных углов.
4) Уравнение x2 + y2 = 0 определяет на плоскости единственную точку O(0;0).
5) Уравнение x2 + y2 = 25 ─ уравнение окружности радиуса 5 с центром в начале координат.
Рекомендуемые страницы:
lektsia.com