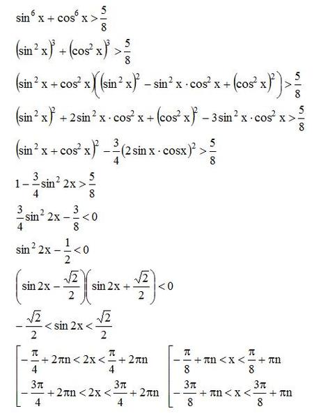
11.3.4. Решение показательных уравнений, приводящихся к квадратным уравнениям.
Автор Татьяна Андрющенко На чтение 2 мин. Просмотров 50 Опубликовано
Многие показательные уравнения заменой переменной сводятся к квадратному уравнению вида: ax2+bx+c=0.
Примеры.
Решить уравнение:
1) 4x+2x+1-3=0. Представим 4x в виде степени с основанием 2.
(22)x+2x∙21-3=0; при возведении степени в степень основание оставляют, а показатели перемножают: 2·х=х·2, поэтому:
(2x)2+2∙2x-3=0;
вводим новую переменную: пусть 2x=y;
y2+2y-3=0.
Дискриминант для четного второго коэффициента: D1=12-1∙(-3)=1+3=4=22 – полный квадрат, поэтому применим теорему Виета: сумма корней приведенного квадратного уравнения равна второму коэффициенту, взятому с противоположным знаком, а произведение корней равно свободному члену.
y1+y2=-2, y1∙y2=-3. Подбираем корни: y1=-3, y2=1.
Возвращаемся к переменной х:
1) 2x=-3, нет решений, так как значения показательной функции: Е(у)=(0; +∞). (только положительные числа).
2) 2x=1. Число 1 можно представлять в виде нулевой степени по любому основанию.
2x=20;
x=0.
Ответ: 0.
2) 0,252x-5∙0,52x+4=0. Решаем аналогично. Представляем 0,252x— в виде степени с основанием 0,5.
(0,52)2x-5∙0,52x+4=0;
(0,52x)2-5∙0,5 2x+4=0.
0,52x=y; ввели новую переменную у и получили приведенное квадратное уравнение:
y2—5y+4=0;
Дискриминант D=b2-4ac=52-4∙1∙4=25-16=9=32 — полный квадрат, применяем теорему Виета: сумма корней приведенного квадратного уравнения равна второму коэффициенту, взятому с противоположным знаком, а произведение корней равно свободному члену.
y1+y2=5, y1+y2=4. Корни приведенного квадратного уравнения находим подбором: y1=1, y2=4 и возвращаемся к переменной х:
1) 0,52x=1; число 1 можно представлять в виде нулевой степени по любому основанию.
0,52x=0,50;
2x=0;
x=0.
2) 0,52x=4; приведем степень 0,52x к основанию 2, применив формулу: (1/a)x =а-х
(1/2)2x=22;
2-2x=22; приравниваем показатели:
— 2x=2 |:(-2)
x=-1.
Ответ: -1; 0.
Представим левую и правую части в виде степеней с основанием 4, используя формулы: а-х=1/ax и ax∙ay=ax+y .
Если равны две степени с одинаковыми основаниями, то основания можно опустить и приравнять показатели степеней. Переносим дробь из правой части равенства в левую и упрощаем левую часть.
Находим дискриминант приведенного квадратного уравнения. Дискриминант является квадратом целого числа, поэтому, подбираем корни, пользуясь теоремой Виета: сумма корней приведенного квадратного уравнения равна второму коэффициенту, взятому с противоположным знаком, а произведение корней равно свободному члену.
{2}}-17t+6=0\)
имеет три корня:
\( {{t}_{1}}=3,~{{t}_{2}}=\frac{1}{3},~{{t}_{3}}=-2\).
Последний корень мы, конечно, отбросим, поскольку он меньше нуля. А первые два после обратной замены дадут нам два корня:
\( {{x}_{1}}=1,~{{x}_{2}}=-1\).
Ответ: \( {{x}_{1}}=1,~{{x}_{2}}=-1\).
Этим примером я отнюдь не хотел напугать тебя!
Скорее наоборот, я ставил своей целью показать, что хоть у нас была довольно простая замена, тем не менее она привела к довольно сложному уравнению, решение которого потребовало от нас некоторых особых навыков.
Ну что же, от этого никто не застрахован. Зато замена в данном случае была довольно очевидной.
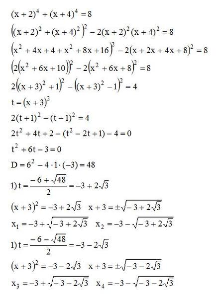
Решение уравнений четвертой степени
Для уравнений четвертой степени применимы все те общие схемы решения уравнений высших степеней, что мы разбирали в предыдущем материале. Однако существует ряд нюансов в решении двучленных, биквадратных и возвратных уравнений, на которых мы хотели бы остановиться подробнее.
Также в статье мы разберем искусственный метод разложения многочлена на множители, решение в радикалах и метод Феррари, который используется для того, чтобы свести решение уравнения четвертой степени к кубическому уравнению.
Решение двучленного уравнения четвертой степени
Это простейший тип уравнений четвертой степени. Запись уравнения имеет вид Ax4+B=0.
Определение 1Для решения этого типа уравнений применяются формулы сокращенного умножения:
Ax4+B=0x4+BA=0x4+2BAx2+BA-2BAx2=0x2+BA2-2BAx2=0x2-2BA4x+BAx2+2BA4x+BA=0
Остается лишь найти корни квадратных трехчленов.
Пример 1Решить уравнение четвертой степени 4×4+1=0.
Решение
Для начала проведем разложение многочлена 4×4+1 на множители:
4×4+1=4×4+4×2+1=(2×2+1)2-4×2=2×2-2x+1(2×2+2x+1)
Теперь найдем корни квадратных трехчленов.
Первого:
2×2-2x+1=0D=(-2)2-4·2·1=-4×1=2+D2·2=12+ix2=2-D2·2=12-i
Второго:
2×2+2x+1=0D=22-4·2·1=-4×3=-2+D2·2=-12+ix4=-2-D2·2=-12-i
Мы получили четыре комплексных корня.
Ответ: x=12±i и x=-12±i.
Решение возвратного уравнения четвертой степени
Определение 2Возвратные уравнения четвертого порядка имеют вид Ax4+Bx3+Cx2+Bx+A=0
х=0 не является корнем этого уравнения: A·04+B·03+C·02+B·0+A=A≠0. Поэтому на x2 можно смело разделить обе части этого уравнения:
Ax4+Bx3+Cx2+Bx+A=0Ax2+Bx+C+Bx+Ax2=0Ax2+Ax2+Bx+Bx+C=0Ax2+1×2+Bx+1x+C=0
Проведем замену переменных x+1x=y⇒x+1×2=y2⇒x2+1×2=y2-2:
Ax2+1×2+Bx+1x+C=0A(y2-2)+By+C=0Ay2+By+C-2A=0
Так мы проведи сведение возвратного уравнения четвертой степени к квадратному уравнению.
Пример 2Найти все комплексные корни уравнения 2×4+23+2×3+4+6×2+23+2x+2=0.
Решение
Симметрия коэффициентов подсказывает нам, что мы имеем дело с возвратным уравнением четвертой степени. Проведем деление обеих частей на x2:
2×2+23+2x+4+6+23+2x+2×2=0
Проведем группировку:
2×2+2×2+23+2x+23+2x+4+6+=02×2+1×2+23+2x+1x+4+6=0
Проведем замену переменной x+1x=y⇒x+1×2=y2⇒x2+1×2=y2-2
2×2+1×2+23+2x+1x+4+6=02y2-2+23+2y+4+6=02y2+23+2y+6=0
Решим полученное квадратное уравнение:
D=23+22-4·2·6=12+46+2-86==12-46+2=23-22y1=-23-2+D2·2=-23-2+23-24=-22y2=-23-2-D2·2=-23-2-23+24=-3
Вернемся к замене: x+1x=-22, x+1x=-3.
Решим первое уравнение:
x+1x=-22⇒2×2+2x+2=0D=22-4·2·2=-14×1=-2-D2·2=-24+i·144×2=-2-D2·2=-24-i·144
Решим второе уравнение:
x+1x=-3⇒x2+3x+1=0D=32-4·1·1=-1×3=-3+D2=-32+i·12×4=-3-D2=-32-i·12
Ответ: x=-24±i·144 и x=-32±i·12.
Решение биквадратного уравнения
Биквадратные уравнения четвертой степени имеют вид Ax4+Bx2+C=0. Мы можем свести такое уравнение к квадратному Ay2+By+C=0 путем замены y=x2. Это стандартный прием.
Пример 3Решить биквадратное уравнение 2×4+5×2-3=0.
Решение
Выполним замену переменной y=x2, что позволит нам свести исходное уравнение к квадратному:
2y2+5y-3=0D=52-4·2·(-3)=49y1=-5+D2·2=-5+74=12y2=-5-D2·2=-5-74=-3
Следовательно, x2=12 или x2=-3.
Первое равенство позволяет нам получить корень x=±12. Второе равенство не имеет действительных корней, зато имеет комплексно сопряженных корней x=±i·3.
Ответ: x=±12 и x=±i·3.
Нужна помощь преподавателя?
Опиши задание — и наши эксперты тебе помогут!
Найти все комплексные корни биквадратного уравнения 16×4+145×2+9=0.
Решение
Используем метод замены y=x2 для того, чтобы свести исходное биквадратное уравнение к квадратному:
16y2+145y+9=0D=1452-4·16·9=20449y1=-145+D2·16=-145+14332=-116y2=-145-D2·16=-145-14332=-9
Поэтому, в силу замены переменной, x2=-116 или x2=-9.
Ответ: x1, 2=±14·i, x3, 4=±3·i.
Решение уравнений четвертой степени с рациональными корнями
Алгоритм нахождения рациональных корней уравнения четвертой степени приведен в материале «Решение уравнений высших степеней».
Решение уравнений четвертой степени по методу Феррари
Уравнения четвертой степени вида x4+Ax3+Bx2+Cx+D=0 в общем случае можно решить с применением метода Феррари. Для этого необходимо найти y0. Это любой из корней кубического уравнения y3-By2+AC-4Dy-A2D+4BD-C2=0. После этого необходимо решить два квадратных уравнения x2+A2x+y02+A24-B+y0x2+A2y0-Cx+y024-D=0, у которых подкоренное выражение является полным квадратом.
Корни, полученные в ходе вычислений, будут корнями исходного уравнения четвертой степени.
Пример 5Найти корни уравнения x4+3×3+3×2-x-6=0.
Решение
Имеем А=3, В=3, С=-1, D=-6. Применим метод Феррари для решения данного уравнения.
Составим и решим кубическое уравнение:
y3-By2+AC-4Dy-A2D+4BD-C2=0y3-3y2+21y-19=0
Одним из корней кубического уравнения будет y0=1, так как 13-3·12+21·1-19=0.
Запишем два квадратных уравнения:
x2+A2x+y02±A24-B+y0x2+A2y0-Cx+y024-D=0x2+32x+12±14×2+52x+254=0x2+32x+12±12x+522=0
x2+32x+12+12x+52=0 или x2+32x+12-12x-52=0
x2+2x+3=0 или x2+x-2=0
Корнями первого уравнения будут x=-1±i·2, корнями второго х=1 и х=-2.
Ответ: x1,2=-1±i2, x3=1, x4=-2.
Сводим показательное уравнение к квадратному путем введения новой переменной: пример с решением
Пример
Решите уравнение 25x+9·5x−10=0.
Решение
Нам нужно решить показательное уравнение. Какой из методов решения показательных уравнений подходит в нашем случае? В записи уравнения две степени 25x и 5x. Показатели этих степеней одинаковые, а основание степени 25x очевидно представляет собой квадрат основания степени 5x. Эти соображения вкупе со свойствами степеней позволяют выразить степень 25x через степень 5x следующим образом: 25x=(52)x=52·x=5x·2=(5x)2. А это позволяет ввести новую переменную для решения заданного показательного уравнения. Итак, воспользуемся методом введения новой переменной.
Обозначим 5x=t. Так как 25x=(5x)2, то 25x=t2. Тогда уравнение 25x+9·5x−10=0 преобразуется в уравнение с новой переменной следующего вида t2+9·t−10=0. Это квадратное уравнение, решим его через дискриминант:
Теперь надо вернуться к старой переменной. Мы принимали 5x=t и нашли t1=−10 и t2=1. Это приводит нас к совокупности двух уравнений 5x=−10 и 5x=1. Оба уравнения совокупности – это простейшие показательные уравнения. Первое из них решений не имеет, так как в его правой части находится отрицательное число. Второе уравнение 5x=1 перепишем в виде 5x=50, откуда виден его единственный корень 0.
Таким образом, показательное уравнение 25x+9·5x−10=0 имеет единственный корень 0.
2.
Пример
Скопируйте образец данных из следующей таблицы и вставьте их в ячейку A1 нового листа Excel. Чтобы отобразить результаты формул, выделите их и нажмите клавишу F2, а затем — клавишу ВВОД. При необходимости измените ширину столбцов, чтобы видеть все данные.
Формула | Описание | Результат |
|---|---|---|
|
=СТЕПЕНЬ(5;2) |
Число 5 в квадрате. |
25 |
|
=СТЕПЕНЬ(98,6;3,2) |
Число 98,6, возведенное в степень 3,2. |
2401077,222 |
|
=СТЕПЕНЬ(4;5/4) |
Число 4, возведенное в степень 5/4. |
5,656854249 |
Степень с натуральным показателем
Предварительные навыкиЧто такое степень?
Степенью называют произведение из нескольких одинаковых множителей. Например:
2 × 2 × 2
Значение данного выражения равно 8
2 × 2 × 2 = 8
Левую часть этого равенства можно сделать короче – сначала записать повторяющийся множитель и указать над ним сколько раз он повторяется.
Повторяющийся множитель в данном случае это 2. Повторяется он три раза. Поэтому над двойкой записываем тройку:
23 = 8
Это выражение читается так: «два в третьей степени равно восемь» или «третья степень числа 2 равна 8».
Короткую форму записи перемножения одинаковых множителей используют чаще. Поэтому надо помнить, что если над каким-то числом надписано другое число, то это есть перемножение нескольких одинаковых множителей.
Например, если дано выражение 53, то следует иметь ввиду, что это выражение равносильно записи 5 × 5 × 5.
Число, которое повторяется называют основанием степени. В выражении 53 основанием степени является число 5.
А число, которое надписано над числом 5 называют показателем степени. В выражении 53 показателем степени является число 3. Показатель степени показывает сколько раз повторяется основание степени. В нашем случае основание 5 повторяется три раза
Саму операцию перемножения одинаковых множителей называют возведением в степень.
Например, если нужно найти произведение из четырёх одинаковых множителей, каждый из которых равен 2, то говорят, что число 2 возводится в четвёртую степень:
Видим, что число 2 в четвёртой степени есть число 16.
Отметим, что в данном уроке мы рассматриваем степени с натуральным показателем. Это вид степени, показателем которой является натуральное число. Напомним, что натуральными называют целые числа, которые больше нуля. Например, 1, 2, 3 и так далее.
Вообще, определение степени с натуральным показателем выглядит следующим образом:
Степень числа a с натуральным показателем n — это выражение вида an, которое равно произведению n множителей, каждый из которых равен a
Примеры:
Следует быть внимательным при возведении числа в степень.
Часто по невнимательности человек умножает основание степени на показатель.
Например, число 5 во второй степени есть произведение двух множителей каждый из которых равен 5. Это произведение равно 25
Теперь представим, что мы по невнимательности умножили основание 5 на показатель 2
Получилась ошибка, поскольку число 5 во второй степени не равно 10.
Дополнительно следует упомянуть, что степень числа с показателем 1, есть само это число:
Например, число 5 в первой степени есть само число 5
Соответственно, если у числа отсутствует показатель, то надо считать, что показатель равен единице.
Например, числа 1, 2, 3 даны без показателя, поэтому их показатели будут равны единице. Каждое из этих чисел можно записать с показателем 1
А если возвести 0 в какую-нибудь степень, то получится 0. Действительно, сколько бы раз ничего не умножалось на само себя получится ничего. Примеры:
А выражение 00 не имеет смысла. Но в некоторых разделах математики, в частности анализе и теории множеств, выражение 00 может иметь смысл.
Для тренировки решим несколько примеров на возведение чисел в степени.
Пример 1. Возвести число 3 во вторую степень.
Число 3 во второй степени это произведение двух множителей, каждый из которых равен 3
32 = 3 × 3 = 9
Пример 2. Возвести число 2 в четвертую степень.
Число 2 в четвертой степени это произведение четырёх множителей, каждый из которых равен 2
24 =2 × 2 × 2 × 2 = 16
Пример 3. Возвести число 2 в третью степень.
Число 2 в третьей степени это произведение трёх множителей, каждый из которых равен 2
23 =2 × 2 × 2 = 8
Возведение в степень числа 10
Чтобы возвести в степень число 10, достаточно дописать после единицы количество нулей, равное показателю степени.
Например, возведем число 10 во вторую степень. Сначала запишем само число 10 и в качестве показателя укажем число 2
102
Теперь ставим знак равенства, записываем единицу и после этой единицы записываем два нуля, поскольку количество нулей должно быть равно показателю степени
102 = 100
Значит, число 10 во второй степени это число 100. Связано это с тем, что число 10 во второй степени это произведение двух множителей, каждый из которых равен 10
102 = 10 × 10 = 100
Пример 2. Возведём число 10 в третью степень.
В данном случае после единицы будут стоять три нуля:
103 = 1000
Пример 3. Возведем число 10 в четвёртую степень.
В данном случае после единицы будут стоять четыре нуля:
104 = 10000
Пример 4. Возведем число 10 в первую степень.
В данном случае после единицы будет стоять один нуль:
101 = 10
Представление чисел 10, 100, 1000 в виде степени с основанием 10
Чтобы представить числа 10, 100, 1000 и 10000 в виде степени с основанием 10, нужно записать основание 10, и в качестве показателя указать число, равное количеству нулей исходного числа.
Представим число 10 в виде степени с основанием 10. Видим, что в нём один нуль. Значит, число 10 в виде степени с основанием 10 будет представлено как 101
10 = 101
Пример 2. Представим число 100 в виде степени основанием 10. Видим, что число 100 содержит два нуля. Значит, число 100 в виде степени с основанием 10 будет представлено как 102
100 = 102
Пример 3. Представим число 1 000 в виде степени с основанием 10.
1 000 = 103
Пример 4. Представим число 10 000 в виде степени с основанием 10.
10 000 = 104
Возведение в степень отрицательного числа
При возведении в степень отрицательного числа, его обязательно нужно заключить в скобки.
Например, возведём отрицательное число −2 во вторую степень. Число −2 во второй степени это произведение двух множителей, каждый из которых равен (−2)
(−2)2 = (−2) × (−2) = 4
Если бы мы не заключили в скобки число −2, то получилось бы что мы вычисляем выражение −22, которое не равно 4. Выражение −2² будет равно −4. Чтобы понять почему, коснёмся некоторых моментов.
Когда мы ставим перед положительным числом минус, мы тем самым выполняем операцию взятия противоположного значения.
Допустим, дано число 2, и нужно найти его противоположное число. Мы знаем, что противоположное числу 2 это число −2. Иными словами, чтобы найти противоположное число для 2, достаточно поставить минус перед этим числом. Вставка минуса перед числом уже считается в математике полноценной операцией. Эту операцию, как было указано выше, называют операцией взятия противоположного значения.
В случае с выражением −22 происходит две операции: операция взятия противоположного значения и возведение в степень. Возведение в степень является более приоритетной операцией, чем взятие противоположного значения.
Поэтому выражение −22 вычисляется в два этапа. Сначала выполняется операция возведения в степень. В данном случае во вторую степень было возведено положительное число 2
Затем выполнилось взятие противоположного значения. Это противоположное значение было найдено для значения 4. А противоположное значение для 4 это −4
−22 = −4
Скобки же имеют самый высокий приоритет выполнения. Поэтому в случае вычисления выражения (−2)2 сначала выполняется взятие противоположного значения, а затем во вторую степень возводится отрицательное число −2. В результате получается положительный ответ 4, поскольку произведение отрицательных чисел есть положительное число.
Пример 2. Возвести число −2 в третью степень.
Число −2 в третьей степени это произведение трёх множителей, каждый из которых равен (−2)
(−2)3 = (−2) × (−2) × (−2) = −8
Пример 3.
Возвести число −2 в четвёртую степень.
Число −2 в четвёртой степени это произведение четырёх множителей, каждый из которых равен (−2)
(−2)4 = (−2) × (−2) × (−2) × (−2) = 16
Легко заметить, что при возведении в степень отрицательного числа может получиться либо положительный ответ либо отрицательный. Знак ответа зависит от показателя исходной степени.
Если показатель степени чётный, то ответ будет положительным. Если показатель степени нечётный, ответ будет отрицательным. Покажем это на примере числа −3
В первом и в третьем случае показатель был нечётным числом, поэтому ответ стал отрицательным.
Во втором и в четвёртом случае показатель был чётным числом, поэтому ответ стал положительным.
Пример 7. Возвести число −5 в третью степень.
Число −5 в третьей степени это произведение трёх множителей каждый из которых равен −5. Показатель 3 является нечётным числом, поэтому мы заранее можем сказать, что ответ будет отрицательным:
(−5)3 = (−5) × (−5) × (−5) = −125
Пример 8. Возвести число −4 в четвёртую степень.
Число −4 в четвёртой степени это произведение четырёх множителей, каждый из которых равен −4. При этом показатель 4 является чётным, поэтому мы заранее можем сказать, что ответ будет положительным:
(−4)4 = (−4) × (−4) × (−4) × (−4) = 256
Нахождение значений выражений
При нахождении значений выражений, не содержащих скобки, возведение в степень будет выполняться в первую очередь, далее умножение и деление в порядке их следования, а затем сложение и вычитание в порядке их следования.
Пример 1. Найти значение выражения 2 + 52
Сначала выполняется возведение в степень. В данном случае во вторую степень возводится число 5 — получается 25. Затем этот результат складывается с числом 2
2 + 52 = 2 + 25 = 27
Пример 10.
Найти значение выражения −62 × (−12)
Сначала выполняется возведение в степень. Заметим, что число −6 не взято в скобки, поэтому во вторую степень будет возведено число 6, затем перед результатом будет поставлен минус:
−62 × (−12) = −36 × (−12)
Завершаем пример, умножив −36 на (−12)
−62 × (−12) = −36 × (−12) = 432
Пример 11. Найти значение выражения −3 × 22
Сначала выполняется возведение в степень. Затем полученный результат перемножается с числом −3
−3 × 22 = −3 × 4 = −12
Если выражение содержит скобки, то сначала нужно выполнить действия в этих скобках, далее возведение в степень, затем умножение и деление, а затем сложение и вычитание.
Пример 12. Найти значение выражения (32 + 1 × 3) − 15 + 5
Сначала выполняем действия в скобках. Внутри скобок применяем ранее изученные правила, а именно сначала возводим во вторую степень число 3, затем выполняем умножение 1 × 3, затем складываем результаты возведения в степень числа 3 и умножения 1 × 3. Далее выполняется вычитание и сложение в порядке их следования. Расставим такой порядок выполнения действия над исходным выражением:
(32 + 1 × 3) − 15 + 5 = 12 − 15 + 5 = 2
Пример 13. Найти значение выражения 2 × 53 + 5 × 23
Сначала возведем числа в степени, затем выполним умножение и сложим полученные результаты:
2 × 53 + 5 × 23 = 2 × 125 + 5 × 8 = 250 + 40 = 290
Тождественные преобразования степеней
Над степенями можно выполнять различные тождественные преобразования, тем самым упрощая их.
Допустим, потребовалось вычислить выражение (23)2. В данном примере два в третьей степени возводится во вторую степень. Иными словами, степень возводится в другую степень.
(23)2это произведение двух степеней, каждая из которых равна 23
При этом каждая из этих степеней является произведением трёх множителей, каждый из которых равен 2
Получили произведение 2 × 2 × 2 × 2 × 2 × 2, которое равно 64.
Значит значение выражения (23)2 или равно 64
Этот пример можно значительно упростить. Для этого показатели выражения (23)2 можно перемножить и записать это произведение над основанием 2
Получили 26. Два в шестой степени это произведение шести множителей, каждый из которых равен 2. Это произведение равно 64
Данное свойство работает по причине того, что 23 это произведение 2 × 2 × 2, которое в свою очередь повторяется два раза. Тогда получается, что основание 2 повторяется шесть раз. Отсюда можно записать, что 2 × 2 × 2 × 2 × 2 × 2 это 26
Вообще, для любого основания a с показателями m и n, выполняется следующее равенство:
(an)m = an × m
Это тождественное преобразование называют возведением степени в степень. Его можно прочитать так: «При возведении степени в степень основание оставляют без изменений, а показатели перемножают».
После перемножения показателей, получится другая степень, значение которой можно найти.
Пример 2. Найти значение выражения (32)2
В данном примере основанием является 3, а числа 2 и 2 являются показателями. Воспользуемся правилом возведения степени в степень. Основание оставим без изменений, а показатели перемножим:
Получили 34. А число 3 в четвёртой степени есть 81
Рассмотрим остальные преобразования.
Умножение степеней
Чтобы перемножить степени, нужно по отдельности вычислить каждую степень, и полученные результаты перемножить.
Например, умножим 22 на 33.
22 это число 4, а 33 это число 27. Перемножаем числа 4 и 27, получаем 108
22 × 33 = 4 × 27 = 108
В этом примере основания степеней были разными.
В случае, если основания будут одинаковыми, то можно записать одно основание, а в качестве показателя записать сумму показателей исходных степеней.
Например, умножим 22 на 23
В данном примере основания у степеней одинаковые. В этом случае можно записать одно основание 2 и в качестве показателя записать сумму показателей степеней 22 и 23. Иными словами, основание оставить без изменений, а показатели исходных степеней сложить. Выглядеть это будет так:
Получили 25. Число 2 в пятой степени есть 32
Данное свойство работает по причине того, что 22 это произведение 2 × 2, а 23 это произведение 2 × 2 × 2. Тогда получается произведение из пяти одинаковых множителей, каждый из которых равен 2. Это произведение представимо в виде 25
Вообще, для любого a и показателей m и n выполняется следующее равенство:
Это тождественное преобразование носит название основного свойства степени. Его можно прочитать так: «При перемножении степеней с одинаковыми основаниями, основание оставляют без изменений, а показатели складывают».
Отметим, что данное преобразование можно применять при любом количестве степеней. Главное, чтобы основание было одинаковым.
Например, найдем значение выражения 21 × 22 × 23. Основание 2 оставим без изменений, а показатели сложим:
В некоторых задачах достаточным бывает выполнить соответствующее преобразование, не вычисляя итоговую степень. Это конечно же очень удобно, поскольку вычислять большие степени не так-то просто.
Пример 1. Представить в виде степени выражение 58 × 25
В данной задаче нужно сделать так, чтобы вместо выражения 58 × 25 получилась одна степень.
Число 25 можно представить в виде 52. Тогда получим следующее выражение:
В этом выражении можно применить основное свойство степени — основание 5 оставить без изменений, а показатели 8 и 2 сложить:
Задачу можно считать решённой, поскольку мы представили выражение 58 × 25 в виде одной степени, а именно в виде степени 510.
Запишем решение покороче:
Пример 2. Представить в виде степени выражение 29 × 32
Число 32 можно представить в виде 25. Тогда получим выражение 29 × 25. Далее можно применить основание свойство степени — основание 2 оставить без изменений, а показатели 9 и 5 сложить. В результате получится следующее решение:
Пример 3. Вычислите произведение 3 × 3, используя основное свойство степени.
Все хорошо знают, что три умножить на три равно девять, но задача требует в ходе решения воспользоваться основным свойством степени. Как это сделать?
Вспоминаем, что если число дано без показателя, то показатель нужно считать равным единице. Стало быть сомножители 3 и 3 можно записать в виде 31 и 31
31 × 31
Теперь воспользуемся основным свойством степени. Основание 3 оставляем без изменений, а показатели 1 и 1 складываем:
31 × 31 = 32
Далее вычисляем значение выражения. Число 3 во второй степени равно числу 9
31 × 31 = 32 = 9
Пример 4. Вычислите произведение 2 × 2 × 32 × 33, используя основное свойство степени.
Произведение 2 × 2 заменим на 21 × 21, затем на 21 + 1, а затем на 22. Произведение 32 × 33 заменим на 32 + 3, а затем на 35
Далее вычисляем значение каждой степени и находим произведение:
Пример 5. Выполнить умножение x × x
Это два одинаковых буквенных сомножителя с показателями 1. Для наглядности запишем эти показатели. Далее основание x оставим без изменений, а показатели сложим:
Находясь у доски, не следует записывать перемножение степеней с одинаковыми основаниями так подробно, как это сделано здесь.
Такие вычисления нужно выполнять в уме. Подробная запись скорее всего будет раздражать учителя и он снизит за это оценку. Здесь же подробная запись дана, чтобы материал был максимально доступным для понимания.
Решение данного примера желательно записать так:
Пример 6. Выполнить умножение x2 × x
Показатель второго сомножителя равен единице. Для наглядности запишем его. Далее основание оставим без изменений, а показатели сложим:
Пример 7. Выполнить умножение y3y2y
Показатель третьего сомножителя равен единице. Для наглядности запишем его. Далее основание оставим без изменений, а показатели сложим:
Пример 8. Выполнить умножение aa3a2a5
Показатель первого сомножителя равен единице. Для наглядности запишем его. Далее основание оставим без изменений, а показатели сложим:
Пример 9. Представить степень 38 в виде произведения степеней с одинаковыми основаниями.
В данной задаче нужно составить произведение степеней, основания которых будут равны 3, и сумма показателей которых будет равна 8. Можно использовать любые показатели. Представим степень 38 в виде произведения степеней 35 и 33
В данном примере мы опять же опирались на основное свойство степени. Ведь выражение 35 × 33 можно записать как 35 + 3, откуда 38.
Конечно можно было представить степень 38 в виде произведения других степеней. Например, в виде 37 × 31, поскольку это произведение тоже равно 38
Представление степени в виде произведения степеней с одинаковыми основаниями это по большей части творческая работа. Поэтому не нужно бояться экспериментировать.
Пример 10. Представить степень x12 в виде различных произведений степеней с основаниями x.
Воспользуемся основным свойство степени. Представим x12 в виде произведений с основаниями x, и сумма показателей которых равна 12
Конструкции с суммами показателей были записаны для наглядности. Чаще всего их можно пропустить. Тогда получится компактное решение:
Возведение в степень произведения
Чтобы возвести в степень произведение, нужно возвести в указанную степень каждый множитель этого произведения и перемножить полученные результаты.
Например, возведём во вторую степень произведение 2 × 3. Возьмём в скобки данное произведение и в качестве показателя укажем 2
Теперь возведём во вторую степень каждый множитель произведения 2 × 3 и перемножим полученные результаты:
Принцип работы данного правила основан на определении степени, которое было дано в самом начале.
Возвести произведение 2 × 3 во вторую степень означает повторить данное произведение два раза. А если повторить его два раза, то можно получить следующее:
2 × 3 × 2 × 3
От перестановки мест сомножителей произведение не меняется. Это позволяет сгруппировать одинаковые множители:
2 × 2 × 3 × 3
Повторяющиеся множители можно заменить на короткие записи — основания с показателями. Произведение 2 × 2 можно заменить на 22, а произведение 3 × 3 можно заменить на 32. Тогда выражение 2 × 2 × 3 × 3 обращается в выражение 22 × 32.
Пусть ab исходное произведение. Чтобы возвести данное произведение в степень n, нужно по отдельности возвести множители a и b в указанную степень n
Данное свойство справедливо для любого количества множителей. Следующие выражения также справедливы:
Пример 2.
Найти значение выражения (2 × 3 × 4)2
В данном примере нужно возвести во вторую степень произведение 2 × 3 × 4. Чтобы сделать это, нужно возвести во вторую степень каждый множитель этого произведения и перемножить полученные результаты:
Пример 3. Возвести в третью степень произведение a × b × c
Заключим в скобки данное произведение, и в качестве показателя укажем число 3
Далее возводим в третью степень каждый множитель данного произведения:
Пример 4. Возвести в третью степень произведение 3xyz
Заключим в скобки данное произведение, и в качестве показателя укажем 3
(3xyz)3
Возведём в третью степень каждый множитель данного произведения:
(3xyz)3 = 33x3y3z3
Число 3 в третьей степени равно числу 27. Остальное оставим без изменений:
(3xyz)3 = 33x3y3z3 = 27x3y3z3
В некоторых примерах умножение степеней с одинаковыми показателями можно заменять на произведение оснований с одним показателем.
Например, вычислим значение выражения 52 × 32. Возведем каждое число во вторую степень и перемножим полученные результаты:
52 × 32 = 25 × 9 = 225
Но можно не вычислять по отдельности каждую степень. Вместо этого, данное произведение степеней можно заменить на произведение с одним показателем (5 × 3)2. Далее вычислить значение в скобках и возвести полученный результат во вторую степень:
52 × 32 = (5 × 3)2 = (15)2 = 225
В данном случае опять же было использовано правило возведения в степень произведения. Ведь, если (a × b)n = an × bn, то an × bn = (a × b)n.
То есть левая и правая часть равенства поменялись местами.
Возведение степени в степень
Это преобразование мы рассматривали в качестве примера, когда пытались понять суть тождественных преобразований степеней.
При возведении степени в степень основание оставляют без изменений, а показатели перемножают:
(an)m = an × m
К примеру, выражение (23)2 является возведением степени в степень — два в третьей степени возводится во вторую степень. Чтобы найти значение этого выражения, основание можно оставить без изменений, а показатели перемножить:
(23)2 = 23 × 2 = 26
Далее вычислить степень 26, которая равна 64
(23)2 = 23 × 2 = 26 = 64
Данное правило основано на предыдущих правилах: возведении в степень произведения и основного свойства степени.
Вернёмся к выражению (23)2. Выражение в скобках 23 представляет собой произведение из трёх одинаковых множителей, каждый из которых равен 2. Тогда в выражении (23)2 степень, находящуюся внутри скобок можно заменить на произведение 2 × 2 × 2.
(2 × 2 × 2)2
А это есть возведение в степень произведения, которое мы изучили ранее. Напомним, что для возведения в степень произведения, нужно возвести в указанную степень каждый множитель данного произведения и полученные результаты перемножить:
(2 × 2 × 2)2 = 22 × 22 × 22
Теперь имеем дело с основным свойством степени. Основание оставляем без изменений, а показатели складываем:
(2 × 2 × 2)2 = 22 × 22 × 22 = 22 + 2 + 2 = 26
Как и раньше получили 26. Значение этой степени равно 64
(2 × 2 × 2)2 = 22 × 22 × 22 = 22 + 2 + 2 = 26 = 64
В степень также может возводиться произведение, сомножители которого тоже являются степенями.
Например, найдём значение выражения (22 × 32)3. Здесь показатели каждого множителя нужно умножить на общий показатель 3. Далее найти значение каждой степени и вычислить произведение:
(22 × 32)3 = 22×3 × 32×3 = 26 × 36 = 64 × 729 = 46656
Примерно тоже самое происходит при возведении в степени произведения. Мы говорили, что при возведении в степень произведения, в указанную степень возводится каждый множитель этого произведения.
Например, чтобы возвести произведение 2 × 4 в третью степень, нужно записать следующее выражение:
Но ранее было сказано, что если число дано без показателя, то показатель надо считать равным единице. Получается, что множители произведения 2 × 4 изначально имеют показатели равные 1. Значит в третью степень возводилось выражение 21 × 41. А это есть возведение степени в степень.
Перепишем решение с помощью правила возведения степени в степень. У нас должен получиться тот же результат:
Пример 2. Найти значение выражения (33)2
Основание оставляем без изменений, а показатели перемножаем:
Получили 36. Число 3 в шестой степени есть число 729
Пример 3. Выполнить возведение в степень в выражении (xy)³
Возведём в третью степень каждый множитель произведения:
Пример 4. Выполнить возведение в степень в выражении (abc)⁵
Возведём в пятую степень каждый множитель произведения:
Пример 5. Выполнить возведение в степень в выражении (−2ax)3
Возведём в третью степень каждый множитель произведения:
Поскольку в третью степень возводилось отрицательное число −2, оно было взято в скобки.
Далее нужно вычислить то, что вычисляется.
В данном случае можно вычислить (−2)3 — получится −8. Буквенная часть останется без изменений:
Пример 6. Выполнить возведение в степень в выражении (10xy)2
Пример 7. Выполнить возведение в степень в выражении (−5x)3
Пример 8. Выполнить возведение в степень в выражении (−3y)4
Пример 9. Выполнить возведение в степень в выражении (−2abx)⁴
Пример 10. Упростите выражение x5 × (x2)3
Степень x5 пока оставим без изменений, а в выражении (x2)3 выполним возведение степени в степени:
x5 × (x2)3 = x5 × x2 × 3 = x5 × x6
Теперь выполним умножение x5× x6. Для этого воспользуемся основным свойством степени — основание x оставим без изменений, а показатели сложим:
x5 × (x2)3 = x5 × x2× 3 = x5 × x6 = x5 + 6 = x11
Пример 9. Найти значение выражения 43 × 22, используя основное свойство степени.
Основное свойство степени можно использовать в случае, если основания исходных степеней одинаковы. В данном примере основания разные, поэтому для начала исходное выражение нужно немного видоизменить, а именно сделать так, чтобы основания степеней стали одинаковыми.
Посмотрим внимательно на степень 43. Основание у этой степени есть число 4, которое можно представить в виде 22.
Тогда исходное выражение примет вид (22)3 × 22. Выполнив возведение степени в степень в выражении (22)3, мы получим 26. Тогда исходное выражение примет вид 26 × 22, вычислить которое можно, используя основное свойство степени.
Запишем решение данного примера:
Деление степеней
Чтобы выполнить деление степеней, нужно найти значение каждой степени, затем выполнить деление обыкновенных чисел.
Например, разделим 43 на 22.
Вычислим 43, получим 64. Вычислим 22, получим 4. Теперь разделим 64 на 4, получим 16
Если при делении степеней основания окажутся одинаковыми, то основание можно оставить без изменений, а из показателя степени делимого вычесть показатель степени делителя.
Например, найдем значение выражения 23 : 22
Основание 2 оставим без изменений, а из показателя степени делимого вычтем показатель степени делителя:
Значит, значение выражения 23 : 22 равно 2.
Данное свойство основано на умножении степеней с одинаковыми основаниями, или как мы привыкли говорить на основном свойстве степени.
Вернемся к предыдущему примеру 23 : 22. Здесь делимое это 23, а делитель 22.
Разделить одно число на другое означает найти такое число, которое при умножении на делитель даст в результате делимое.
В нашем случае, разделить 23 на 22 означает найти такую степень, которая при умножении на делитель 22 даст в результате 23. А какую степень можно умножить на 22, чтобы получить 23 ? Очевидно, что только степень 21. Из основного свойства степени имеем:
Убедиться, что значение выражения 23 : 22 равно 21 можно непосредственно вычислив само выражение 23 : 22.
Для этого сначала найдём значение степени 23, получим 8. Затем найдём значение степени 22, получим 4. Разделим 8 на 4, получим 2 или 21, поскольку 2 = 21.
23 : 22 = 8 : 4 = 2
Таким образом, при делении степеней с одинаковыми основаниями выполняется следующее равенство:
Может случиться и так, что одинаковыми могут оказаться не только основания, но и показатели. В этом случае в ответе получится единица.
Например, найдём значение выражения 22 : 22. Вычислим значение каждой степени и выполним деление получившихся чисел:
При решении примера 22 : 22 также можно применить правило деления степеней с одинаковыми основаниями. В результате получается число в нулевой степени, поскольку разность показателей степеней 22 и 22 равна нулю:
В математике принято считать, что любое число в нулевой степени есть единица:
Почему число 2 в нулевой степени равно единице мы выяснили выше. Если вычислить 22 : 22 обычным методом, не используя правило деления степеней, получится единица.
Пример 2. Найти значение выражения 412 : 410
Воспользуемся правилом деления степеней. Основание 4 оставим без изменений, а из показателя степени делимого вычтем показатель степени делителя:
412 : 410 = 412 − 10 = 42 = 16
Пример 3. Представить частное x3 : x в виде степени с основанием x
Воспользуемся правилом деления степеней. Основание x оставим без изменений, а из показателя степени делимого вычтем показатель степени делителя. Показатель делителя равен единице. Для наглядности запишем его:
Пример 4. Представить частное x3 : x2 в виде степени с основанием x
Воспользуемся правилом деления степеней.
Основание x оставим без изменений, а из показателя степени делимого вычтем показатель степени делителя:
Деление степеней можно записывать в виде дроби. Так, предыдущий пример можно записать следующим образом:
Числитель и знаменатель дроби разрешается записывать в развёрнутом виде, а именно в виде произведений одинаковых множителей. Степень x3 можно записать как x × x × x, а степень x2 как x × x. Тогда конструкцию x3 − 2 можно будет пропустить и воспользоваться сокращением дроби. В числителе и в знаменателе можно будет сократить по два множителя x. В результате останется один множитель x
Или ещё короче:
Также, полезно уметь быстро сокращать дроби, состоящие из степеней. Например, дробь можно сократить на x2. Чтобы сократить дробь на x2 нужно числитель и знаменатель дроби разделить на x2
Деление степеней подробно можно не расписывать. Приведённое сокращение можно выполнить короче:
Или ещё короче:
Пример 5. Выполнить деление x12 : x3
Воспользуемся правилом деления степеней. Основание x оставим без изменений, а из показателя степени делимого вычтем показатель степени делителя:
Запишем решение при помощи сокращения дроби. Деление степеней x12 : x3 запишем в виде . Далее сократим данную дробь на x3.
Пример 6. Найти значение выражения
В числителе выполним умножение степеней с одинаковыми основаниями:
Теперь применяем правило деления степеней с одинаковыми основаниями. Основание 7 оставляем без изменений, а из показателя степени делимого вычтем показатель степени делителя:
Завершаем пример, вычислив степень 72
Пример 7.
Найти значение выражения
Выполним в числителе возведение степени в степень. Сделать это нужно с выражением (23)4
Теперь выполним в числителе умножение степеней с одинаковыми основаниями:
Теперь применяем правило деления степеней с одинаковыми основаниями:
Значит, значение выражения равно 16
В некоторых примерах можно сокращать одинаковые множители в ходе решения. Это позволяет упростить выражение и само вычисление в целом.
Например, найдём значение выражения . Степень 43 запишем в виде возведения степени в степень (22)3. Тогда получим следующее выражение:
В числителе выполним возведение степени в степень. Сделать это нужно с выражением (22)3
В числителе и в знаменателе получившегося выражения содержится степень 26, которую можно сократить на 26
Видим, что в результате осталась единственная степень 32, значение которой равно 9.
Пример 8. Найти значение выражения
В знаменателе содержится произведение степеней с одинаковыми показателями. Согласно правилу возведения в степень произведения, конструкцию 75 × 45 можно представить в виде степени с одним показателем (7 × 4)5. Далее перемножим выражение в скобках, получим 285. В результате исходное выражение примет следующий вид:
Теперь можно применить правило деления степеней:
Значит, значение выражения равно 28. Запишем решение полностью:
Возведение в степень обыкновенных дробей
Чтобы возвести в степень обыкновенную дробь, нужно возвести в указанную степень числитель и знаменатель этой дроби.
Например, возведём обыкновенную дробь во вторую степень. Возьмём в скобки данную дробь и в качестве показателя укажем 2
Если не брать в скобки всю дробь, то это равносильно возведению в степень только числителя данной дроби.
Иными словами, если мы хотим возвести во вторую степень дробь , мы не должны записывать это как .
Итак, чтобы вычислить значение выражения , нужно возвести во вторую степень числитель и знаменатель данной дроби:
Получили дробь в числителе и в знаменателе которой содержатся степени. Вычислим каждую степень по отдельности
Значит обыкновенная дробь во второй степени равна дроби .
Приведённое правило работает следующим образом. Дробь во второй степень это произведение двух дробей, каждая из которых равна
Мы помним, что для перемножения дробей необходимо перемножить их числители и знаменатели:
А поскольку в числителе и в знаменателе происходит перемножение одинаковых множителей, то выражения 2 × 2 и 3 × 3 можно заменить на 22 и 32 соответственно:
Откуда и получится ответ .
Вообще, для любого a и b ≠ 0 выполняется следующее равенство:
Это тождественное преобразование называют возведением в степень обыкновенной дроби.
Пример 2. Возвести дробь в третью степень
Заключим данную дробь в скобки и в качестве показателя укажем число 3. Далее возведём числитель и знаменатель данной дроби в третью степень и вычислим получившуюся дробь:
Отрицательная дробь возводится в степень таким же образом, но перед вычислениями надо определиться какой знак будет иметь ответ. Если показатель четный, то ответ будет положительным. Если показатель нечетный, то ответ будет отрицательным.
Например, возведём дробь во вторую степень:
Показатель является чётным числом. Значит ответ будет положительным. Далее применяем правило возведения в степень дроби и вычисляем получившуюся дробь:
Ответ положителен по причине того, что выражение представляет собой произведение двух сомножителей, каждый из которых равен дроби
А произведение отрицательных чисел (в том числе и рациональных) есть положительное число:
Если возводить дробь в третью степень, то ответ будет отрицательным, поскольку в данном случае показатель будет нечётным числом.
Правило возведения в степень остаётся тем же, но перед выполнением этого возведения, нужно будет поставить минус:
Здесь ответ отрицателем по причине того, что выражение представляет собой произведение трёх множителей, каждый из которых равен дроби
Сначала перемножили и , получили , но затем умножив на мы получим отрицательный ответ
Пример 3. Найти значение выражения
Выполним возведение в степень обыкновенной дроби:
Далее вычислим значение получившегося выражения:
Возведение в степень десятичных дробей
При возведении в степень десятичной дроби её необходимо заключить в скобки. Например, возведём во вторую степень десятичную дробь 1,5
Допускается переводить десятичную дробь в обыкновенную и возводить в степень эту обыкновенную дробь. Решим предыдущий пример, переведя десятичную дробь в обыкновенную:
Пример 2. Найти значение степени (−1,5)3
Показатель степени является нечётным числом. Значит ответ будет отрицательным
Пример 3. Найти значение степени (−2,4)2
Показатель степени является чётным числом. Значит ответ будет положительным:
Задания для самостоятельного решения
Задание 1. Найдите значение выражения:
Решение:
Задание 2. Найдите значение выражения:
Решение:
Задание 3. Найдите значение выражения:
Решение:
Задание 4. Найдите значение выражения:
Решение:
Задание 5. Найдите значение выражения:
Решение:
Задание 6. Найдите значение выражения:
Решение:
Задание 7. Представьте в виде степени произведение:
Решение:
Задание 8. Представьте в виде степени произведение:
Решение:
Задание 9. Представьте в виде степени произведение:
Решение:
Задание 10.
Представьте в виде степени произведение:
Решение:
Задание 11. Представьте в виде степени произведение:
Решение:
Задание 12. Представьте в виде степени произведение:
Решение:
Задание 13. Представьте в виде степени частное:
Решение:
Задание 14. Представьте в виде степени частное:
Решение:
Задание 15. Представьте в виде степени частное:
Решение:
Задание 16. Представьте в виде степени частное:
Решение:
Задание 17. Представьте в виде степени частное:
Решение:
Задание 18. Представьте в виде степени частное и найдите значение получившейся степени при x = 3 и n = 2Решение:
Задание 19. Представьте в виде степени частное:
Решение:
Задание 20. Сократите дробь на c¹Решение:
Задание 21. Представьте в виде степени следующее произведение:
Решение:
Задание 22. Представьте в виде степени следующее произведение:
Решение:
Задание 23. Представьте в виде степени следующее произведение:
Решение:
Задание 24. Представьте в виде степени следующее произведение:
Решение:
Задание 25. Представьте в виде степени следующее произведение:
Решение:
Задание 26. Представьте следующую степень в виде произведения степеней:
Решение:
Задание 27. Представьте следующую степень в виде произведения степеней:
Решение:
Задание 28. Представьте следующую степень в виде произведения степеней:
Решение:
Задание 29. Пользуясь тождественными преобразованиями степеней, найдите значение следующего выражения:
Решение:
Задание 30. Пользуясь тождественными преобразованиями степеней, найдите значение следующего выражения:
Решение:
Задание 31. Пользуясь тождественными преобразованиями степеней, найдите значение следующего выражения:
Решение:
Задание 32.
Представьте в виде степени следующее выражение:
Решение:
Задание 33. Представьте в виде степени следующее выражение:
Решение:
Задание 34. Представьте в виде степени следующее выражение:
Решение:
Задание 35. Представьте в виде степени следующее выражение:
Решение:
Задание 36. Представьте в виде степени следующее выражение:
Решение:
Задание 37. Представьте в виде степени следующее выражение:
Решение:
Задание 38. Найдите значение следующего выражения:
Решение:
Задание 39. Найдите значение следующего выражения:
Решение:
Задание 40. Найдите значение следующего выражения:
Решение:
Задание 41. Найдите значение следующего выражения:
Решение:
Задание 42. Найдите значение следующего выражения:
Решение:
Задание 43. Найдите значение следующего выражения:
Решение:
Задание 44. Найдите значение следующего выражения:
Решение:
Понравился урок?
Вступай в нашу новую группу Вконтакте и начни получать уведомления о новых уроках
Возникло желание поддержать проект?
Используй кнопку ниже
Навигация по записям
Как возвести число к степени в Excel с помощью формулы и оператора
Часто пользователям необходимо возвести число в степень. Как правильно сделать это с помощью «Экселя»?
В этой статье мы попробуем разобраться с популярными вопросами пользователей и дать инструкцию по правильному использованию системы. MS Office Excel позволяет выполнять ряд математических функций: от самых простых до сложнейших. Это универсальное программное обеспечение рассчитано на все случаи жизни.
Как возвести в степень в Excel?
Перед поиском необходимой функции обратите внимание на математические законы:
- Число «1» в любой степени будет оставаться «1».
».
Мы возвели 8 в «квадрат» (т.е. ко второй степени) и получили в ячейке «А2» результат вычисления.
Вариант №2. С использованием функции
В Microsoft Office Excel есть удобная функция «СТЕПЕНЬ», которую вы можете активизировать для осуществления простых и сложных математических расчетов.
Функция выглядит следующим образом:
=СТЕПЕНЬ(число;степень)
ВНИМАНИЕ!
- Цифры для этой формулы указываются без пробелов и других знаков.
- Первая цифра – значение «число». Это основание (т.е. цифра, которую мы возводим). Microsoft Office Excel допускает введение любого вещественного числа.
- Вторая цифра – значение «степень». Это показатель, в который мы возводим первую цифру.
- Значения обоих параметров могут быть меньше нуля (т.е. со знаком «-»).
Формула возведения в степень в Excel
Примеры использования функции СТЕПЕНЬ().
С использованием мастера функций:
- Запускаем мастера функций с помощью комбинации горячих клавиш SHIFT+F3 или жмем на кнопку в начале строки формул «fx» (вставить функцию). Из выпадающего списка «Категория» выбираем «Математические», а в нижнем поле указываем на нужную нам функцию и жмем ОК.
- В появившимся диалоговом окне заполняем поля аргументами. К примеру, нам нужно возвести число «2» в степень «3». Тогда в первое поле вводим «2», а во второе — «3».
- Нажимаем кнопку «ОК» и получаем в ячейке, в которую вводили формулу, необходимое нам значение. Для данной ситуации это «2» в «кубе», т.е. 2*2*2 = 8. Программа подсчитала все верно и выдала вам результат.
Если лишние клики вы считаете сомнительным удовольствием, предлагаем еще один простой вариант.
Ввод функции вручную:
- В строке формул ставим знак «=» и начинаем вводить название функции. Обычно достаточно написать «сте» — и система сама догадается предложить вам полезную опцию.
- Как только увидели такую подсказку, сразу жмите на клавишу «Tab».
(1/n)- где a-число; n-степень:Или через такую функцию: =СТЕПЕНЬ(32;1/5)
В аргументах формулы и функции можно указывать ссылки на ячейки вместо числа.
Как в Excel написать число в степени?
Часто вам важно, чтобы число в степени корректно отображалось при распечатывании и красиво выглядело в таблице. Как в Excel написать число в степени? Здесь необходимо использовать вкладку «Формат ячеек». В нашем примере мы записали цифру «3» в ячейку «А1», которую нужно представить в -2 степени.
Последовательность действий следующая:
- Правой кнопкой мыши щелкаем по ячейке с числом и выбираем из выскакивающего меню вкладку «Формат ячеек». Если не получилось – находим вкладку «Формат ячеек» в верхней панели или жмем комбинацию клавиш CTRL+1.
- В появившемся меню выбираем вкладку «Число» и задаем формат для ячейки «Текстовый». Жмем ОК.
- В ячейке A1 вводим рядом с числом «3» число «-2» и выделяем его.
- Снова вызываем формат ячеек (например, комбинацией горячих клавиш CTRL+1) и теперь для нас только доступна вкладка «Шрифт», в которой отмечаем галочкой опцию «надстрочный». И жмем ОК.
- В результате должно отображаться следующее значение:
Пользоваться возможностями Excel просто и удобно. С ними вы экономите время на осуществлении математических подсчетов и поисках необходимых формул.
Дробные экспоненты
Также называется «Радикалы» или «Рациональные экспоненты»
Показатели целого числа
Во-первых, давайте посмотрим на экспоненты целых чисел:
Показатель числа означает , сколько раз использовать при умножении .
В этом примере: 8 2 = 8 × 8 = 64
Прописью: 8 2 можно было бы назвать «8 во второй степени», «8 в степени 2» или просто «8 в квадрате»
Другой пример: 5 3 = 5 × 5 × 5 = 125
Дробные экспоненты
Но что, если показатель степени — дробь?
Показатель степени от 1 2 фактически равен квадратный корень
Показатель степени 1 3 равен кубический корень
Показатель степени от 1 4 составляет корень 4-й степени
И так далее!
Почему?
Давайте посмотрим, почему на примере.

Во-первых, законы экспонент говорят нам, как обращаться с показателями при умножении:
Пример: x
2 x 2 = (xx) (xx) = xxxx = x 4Что показывает, что x 2 x 2 = x (2 + 2) = x 4
Итак, давайте попробуем это с дробными показателями:
Пример: Что такое 9
½ × 9 ½ ?9 ½ × 9 ½ = 9 (½ + ½) = 9 (1) = 9
Итак, 9 ½ раз само по себе дает 9.
Как мы называем число, которое при умножении само на себя дает другое число? Квадратный корень!
См .:
√9 × √9 = 9
А:
9 ½ × 9 ½ = 9
Итак, 9 ½ совпадает с √9
.Попробуйте другую дробь
Давайте попробуем это еще раз, но с показателем в одну четверть (1/4):
Пример:
16 ¼ × 16 ¼ × 16 ¼ × 16 ¼ = 16 (¼ + ¼ + ¼ + ¼) = 16 (1) = 16
Итак, 16 ¼ , использованное 4 раза при умножении, дает 16,
.и поэтому 16 ¼ — это корень 4-й степени из 16
Общее правило
Он работал с ½ , он работал с ¼ , на самом деле он работает в целом:
x 1/ n = n- -й корень x
Итак, мы можем придумать это:
Дробный показатель, например 1 / n , означает, что извлекает корень n-й степени : Пример: Что такое 27
1/3 ?Ответ: 27 1/3 = 27 = 3
А как насчет более сложных дробей?
А как насчет дробной степени, такой как 4 3/2 ?
Это действительно говорит о том, что нужно сделать куб (3) и квадратный корень (1/2) в любом порядке.

Позвольте мне объяснить.
Фракция (например, m / n ) может быть разбита на две части:
- целая часть ( м ), и
- дробь ( 1 / n ) часть
Итак, поскольку m / n = m × (1 / n) , мы можем сделать это:
Порядок не имеет значения, поэтому он также работает для м / п = (1 / п) × м :
И получаем это:
Дробный показатель, например m / n , означает:
Сделайте m-ю степень , затем возьмите n-й корень
OR Возьмите корень n-й степени и затем выполните -ю степень
Некоторые примеры:
Пример: Что такое 4
3/2 ?4 3/2 = 4 3 × (1/2) = √ (4 3 ) = √ (4 × 4 × 4) = √ (64) = 8
или
4 3/2 = 4 (1/2) × 3 = (√4) 3 = (2) 3 = 8
В любом случае результат будет одинаковым.
Пример: Что такое 27
4/3 ?27 4/3 = 27 4 × (1/3) = (27 4 ) = (531441) = 81
или
27 4/3 = 27 (1/3) × 4 = (27) 4 = (3) 4 = 81
Второй способ был конечно проще!
Теперь … поиграйте с графиком!
Посмотрите, как плавно кривая изменяется, когда вы играете с дробями в этой анимации, это показывает вам, что идея дробных показателей прекрасно сочетается друг с другом:
Что попробовать:
- Начните с m = 1 и n = 1, затем медленно увеличивайте n, чтобы увидеть 1/2, 1/3 и 1/4
- Затем попробуйте m = 2 и проведите n вверх и вниз, чтобы увидеть дроби вроде 2/3 и т.
Д. - Теперь попробуйте сделать экспоненту -1
- Наконец, попробуйте увеличить m, затем уменьшить n, затем , уменьшив m, затем , увеличив n: кривая должна идти вокруг и вокруг
Законы экспонент
Экспоненты также называются Степень или Индексы
Показатель числа означает , сколько раз использовать при умножении .
В этом примере: 8 2 = 8 × 8 = 64
Прописью: 8 2 можно было бы назвать «8 во второй степени», «8 в степени 2» или просто «8 в квадрате»
Попробуйте сами:
Таким образом, экспонента избавляет нас от необходимости выписывать множество умножений!
Пример:
7а 7 = а × а × а × а × а × а × а = ааааааа
Обратите внимание, как мы написали буквы вместе, чтобы обозначить умножение? Мы будем делать это здесь много раз.
Пример: x
6 = xxxxxxКлюч к законам
Записать все буквы — ключ к пониманию Законов
Пример: x
2 x 3 = (xx) (xxx) = xxxxx = x 5Что показывает, что x 2 x 3 = x 5 , но об этом позже!
Итак, если сомневаетесь, просто не забудьте записать все буквы (столько, сколько указывает показатель степени) и посмотреть, сможете ли вы разобраться в этом.
Все, что вам нужно знать …
«Законы экспонент» (также называемые «Правила экспонент») происходят из трех идей :
Показатель степени показывает , сколько раз использовать при умножении . Отрицательная экспонента означает деление , потому что противоположность умножению — деление Если вы это понимаете, значит, вы понимаете экспоненты!
И все приведенные ниже законы основаны на этих идеях.

Законы экспонент
Вот законы (пояснения следуют):
Закон Пример x 1 = x 6 1 = 6 x 0 = 1 7 0 = 1 x -1 = 1 / x 4 -1 = 1/4 x м x n = x м + n x 2 x 3 = x 2 + 3 = x 5 x м / x n = x m-n x 6 / x 2 = x 6-2 = x 4 (x м ) n = x mn (x 2 ) 3 = x 2 × 3 = x 6 (xy) n = x n y n (xy) 3 = x 3 y 3 (x / y) n = x n / y n (x / y) 2 = x 2 / y 2 x -n = 1 / x n x -3 = 1 / x 3 И закон о дробных показателях: Разъяснение законов
Первые три закона выше (x 1 = x, x 0 = 1 и x -1 = 1 / x) являются лишь частью естественной последовательности показателей.Взгляните на это:
Пример: Полномочия 5 .. и т.
д ..5 2 1 × 5 × 5 25 5 1 1 × 5 5 5 0 1 1 5 -1 1 ÷ 5 0.2 5 -2 1 ÷ 5 ÷ 5 0,04 .. и т.д .. Посмотрите на эту таблицу некоторое время … обратите внимание, что положительный, нулевой или отрицательный показатель степени на самом деле является частью одного и того же паттерна, то есть в 5 раз больше (или в 5 раз меньше) в зависимости от того, становится ли показатель больше (или меньше).
Закон, что x
m x n = x m + nПри x m x n , сколько раз мы умножаем «x»? Ответ: сначала «m» раз, затем еще «n» раз, всего «m + n» раз.
Пример: x
2 x 3 = (xx) (xxx) = xxxxx = x 5Итак, x 2 x 3 = x (2 + 3) = x 5
Закон, что x
m / x n = x m-nКак и в предыдущем примере, сколько раз мы умножаем «x»? Ответ: «m» раз, затем уменьшите это на «n» раз (потому что мы делим), всего «m-n» раз.
Пример: x
4 / x 2 = (xxxx) / (xx) = xx = x 2Итак, x 4 / x 2 = x (4-2) = x 2
(Помните, что x / x = 1, поэтому каждый раз, когда вы видите x «над линией» и один «под линией», вы можете отменить их.)
Этот закон также может показать вам, почему x 0 = 1 :
Пример: x
2 / x 2 = x 2-2 = x 0 = 1Закон, что (x
m ) n = x mnСначала умножьте «m» раз.
Затем у вас есть , чтобы проделать это «n» раз по , всего m × n раз.Пример: (x
3 ) 4 = (xxx) 4 = (xxx) (xxx) (xxx) (xxx) = xxxxxxxxxxxx = x 12Итак (x 3 ) 4 = x 3 × 4 = x 12
Закон, что (xy)
n = x n y nЧтобы показать, как это работает, просто подумайте о перестановке всех «x» и «y», как в этом примере:
Пример: (xy)
3 = (xy) (xy) (xy) = xyxyxy = xxxyyy = (xxx) (yyy) = x 3 y 3Закон, что (x / y)
n = x n / y nКак и в предыдущем примере, просто переставьте «x» и «y»
Пример: (x / y)
3 = (x / y) (x / y) (x / y) = (xxx) / (yyy) = x 3 / y 3Закон, что
Хорошо, это немного сложнее!
Я предлагаю вам сначала прочитать дробные экспоненты, иначе это может не иметь смысла.
Во всяком случае, важная идея заключается в том, что:
x 1/ n = n- -й корень x
Итак, дробная экспонента, такая как 4 3/2 , на самом деле говорит о том, что куб (3) и квадратный корень (1/2), в любом порядке.
Просто помните из дробей, что m / n = m × (1 / n) :
Пример:
Порядок не имеет значения, поэтому он также работает для м / п = (1 / п) × м :
Пример:
Показатели экспоненты…
А что насчет этого примера?
4 3 2
Мы делаем экспоненту на вершине сначала , поэтому вычисляем ее следующим образом:
Начать с: 4 3 2 3 2 = 3 × 3: 4 9 4 9 = 4 × 4 × 4 × 4 × 4 × 4 × 4 × 4 × 4: 262144 Вот и все!
Если вам сложно запомнить все эти правила, запомните:
, вы можете решить их, если поймете три идеи
в верхней части этой страницыО, еще одна вещь.
.. Что если x = 0?Положительный показатель степени (n> 0) 0 n = 0 Отрицательная экспонента (n <0) 0 -n равно undefined (поскольку деление на 0 не определено) Показатель степени = 0 0 0 … мммм … см. Ниже! Странная история 0
0Существуют разные аргументы в пользу правильного значения 0 0
0 0 может быть 1 или, возможно, 0, поэтому некоторые люди говорят, что это действительно «неопределенно»:
x 0 = 1, поэтому… 0 0 = 1 0 n = 0, поэтому … 0 0 = 0 Если есть сомнения … 0 0 = «неопределенный»
Жесткий:Степени и показатели (предалгебра, Откройте дроби и множители) — Mathplanet
Мы знаем, как вычислить выражение 5 x 5.{3} $$
Калькулятор экспоненты
Калькулятор экспоненты вычислит значение любого основания, возведенного в любую степень. На этой странице будут рассмотрены все связанные темы, включая отрицательный показатель степени. Начнем с основ.
Что такое показатель степени?
Показатель степени — это способ представить, сколько раз число, известное как основание, умножается само на себя. Он представлен в виде небольшого числа в правом верхнем углу основания.Например:
x²означает, что вы умножаете x на себя два раза, что составляетx * x. Аналогично,4² = 4 * 4и т.
Д. Если показатель степени равен 3, в примере 5³, то результат будет5 * 5 * 5.Это легко с маленькими числами, но для оснований, которые являются большими числами, десятичными знаками или когда они возведены в очень большую или отрицательную степень, используйте наш инструмент. Если вы хотите произвести возведение в степень вручную, сделайте следующее:
- Определите базу и мощность, до которой она повышается, например
3⁵. - Запишите основание столько же раз, сколько экспонента.
3 3 3 3 3 - Поместите символ умножения между каждым основанием.
3 * 3 * 3 * 3 * 3. - Умножить!
3 * 3 * 3 * 3 * 3 = 243.
Калькулятор отрицательной экспоненты
Идея довольно проста, когда экспонента положительна, но что происходит, когда экспонента отрицательна? По определению, если оно равно -2, мы умножим само основание на на минус два раз.На самом деле, что здесь происходит, мы берем величину, обратную основанию, и меняем отрицательный показатель степени на положительный и действуем как обычно. Если вы хотите решить это вручную, сделайте следующее:
- Определите основание и показатель степени.
- Запишите величину, обратную основанию, и измените знак экспоненты на положительный
- Напишите величину, обратную основанию, столько же раз, сколько экспонента.
- Поместите между ними символ умножения.
- Умножьте и получите результат.
Вот быстрый пример:
5⁻⁴ = (1/5) ⁴ = (1/5) * (1/5) * (1/5) * (1/5) = 1/625 = 0,0016Возведение в квадрат основания (возведение числа в степень 2) и извлечение квадратного корня — схожие концепции, многие люди считают одно противоположным или отменяют другое. Если вы хотите возвести число 6 в квадрат, возьмите
6 * 6 = 36. Теперь, если вы хотите найти, какие два одинаковых числа умножаются, чтобы получить 36, вы извлекаете квадратный корень из 36.
Этот квадратный корень дает значение 6.Также можно отметить, что возведение квадратного корня в квадрат удаляет корень.Если вам нужно вычислить кубический корень, вы можете использовать наш калькулятор кубического корня, который является отличным инструментом для вычисления кубического корня любого числа.
Кроме того, вы можете проверить наш калькулятор логарифмов, который является обратной функцией экспоненты.
Любое число, возведенное в степень 0, равно 1. Калькулятор отрицательной экспоненты полезен при работе с экспоненциальным убыванием, формула которого имеет отрицательный показатель степени.
Числа — экспоненты — подробно
Показатель говорит сколько раз базовое число используется в качестве множителя. База из пяти поднятых во второй степени называется «пять в квадрате» и означает «пять». умножить на пять ». Пять в третьей степени называют« пятью в кубе ». и означает «пять раз по пять раз». База может быть любой число — целое число, десятичное число или дробь могут быть возведены в власть.Здесь это несколько простых правил для использования с показателями.
- а 1 =
а
Любое число, возведенное в степень единицы, равно самому числу. - Для любого
число a, кроме 0, a 0 = 1
Любое число, возведенное в степень нуля, кроме нуля, равно единице. - Для любого
числа a, b и c,
a b x a c = a b + c
Это правило умножения говорит нам, что мы можем просто сложить экспоненты, когда умножение двух степеней с одинаковым основанием.
ВНИМАНИЕ! Это ошибки, которые студенты часто допускают при работе с экспонентами.
Ошибка! Не умножайте основание и показатель степени. 2 6 не равно 12, это 64!
Ошибка! Правило умножения применяется только к выражениям с одинаковым основанием.
Четыре
квадрат, умноженный на два в кубе — это не то же самое, что 8 в степени два плюс
три.Ошибка! Правило умножения применяется только к произведению, а не к сумме двух числа.
Научный Обозначение
Что происходит, когда вы используете калькулятор и ваш ответ слишком длинный, чтобы влезть в окно? Воспользуйтесь калькулятором, чтобы умножить эти 2 числа:60 000 000 000 000 х 20 000 000 000
Вы откроете для себя короткий способ написания очень длинных чисел.Это называется научным обозначение или обозначение E на калькуляторе («E» означает «Exponent»). Число, записанное в научных обозначениях, записывается как произведение числа между 1 и 10 и степенью 10.Например, чтобы записать 127 680 000 в экспоненциальном представлении, замените число на число от 1 до 10, переместив десятичную запятую на 8 разрядов влево. Затем умножьте на 10 в степени количества знаков, на которое вы должны были переместить десятичную дробь точка — то есть 108:
127 680 000 = 1.2768 х 10 8
В окне вашего калькулятора основание 10 не отображается; буква E означает «10» возведен в следующую степень ».Примеры
7 х 7 х 7 х 7 =? 7 4
2 х 2 х 2 х 2 х 2 х 2 =? 2 6
1 10 = 1
5 3 = 5 x 5 x 5 = 125Напишите следующее числа в экспоненциальной записи.
565 000 = 5.65 х 10 5
7,325,000 = 7,325 x 10 6
91 247 000 000 = 9,1247 x 10 10назад наверх
POWER 2X — Лотерея Западной Вирджинии: Лотерея Западной Вирджинии
POWER 2X — Лотерея Западной Вирджинии: Лотерея Западной ВирджинииИскать на сайте:
Закрыть поиск Переключить меню* Испытайте удовольствие и азарт, играя в игру Scratch Off прямо здесь, на своем компьютере или мобильном устройстве! Щелкните левой кнопкой мыши и перемещайте ее взад и вперед по указанному выше билету, чтобы поцарапать.
Это только для тестирования! Никакие настоящие призы не будут присуждаться из этой онлайн-игры, которая была аннулирована.Информация
Стоимость билета $ 2 Приз $ 8 000 Общие шансы 1: 4.59 Всего билетов в игре 1,381,200 Дата выпуска 30.01.2020 Номер игры 1042 Статус игры истек Дата окончания 01.08.2020 Срок подачи претензии 28.01.2021 Как играть УСИЛЕНИЕ: покажите двукратный символ, умножьте все выигрыши по билету на эту сумму.
POWER SPOT: покажите символ «20 долларов», выиграйте 20 долларов!
Покажите символ «БОЛТ», выиграйте этот приз мгновенно!Призы
Информация о призах больше не доступна.
Лотерея стала еще проще! Загрузите приложение для Android и iOS>
Сила матрицы 2 x 2: использование мышления 2 x 2 для решения бизнес-задач и принятия более эффективных решений
Предисловие ( Джеймс Х.Гилмор и Б. Джозеф Пайн II ).Благодарности.
Авторы.
Введение.
ЧАСТЬ ПЕРВАЯ: 2 x 2 МЫШЛЕНИЕ.
1 ДНК решения великих проблем.
2 Форма, метод и мастерство: мышление 2 × 2 как диалектический процесс.
3 Восемь архетипических дилемм.
ЧАСТЬ ВТОРАЯ: 2 x 2 ПРАКТИКА.
4 Создание матриц 2 × 2: создание явной интуиции.
5 2 × 2 Мышление в действии: Fujitsu FTXS решает дилеммы уровня 2.
ЧАСТЬ ТРЕТЬЯ: 2 x ИНВЕНТАРЬ 2 РАМКИ.
6 Стратегические рамки.
Под руководством клиента.
Непрерывность и жизненный цикл.
Клиент как менеджер по стоимости.
Анализ ценности клиента.
Сценарии.
Gartner Magic Quadrant.
Анализ портфеля.
Проблемы и решения.
Диалектический SWOT-анализ: сильные и слабые стороны, возможности и угрозы.
Рынок чаевых.

».
(1/n)- где a-число; n-степень:

Д.
д ..
Затем у вас есть , чтобы проделать это «n» раз по , всего m × n раз.
.. Что если x = 0?
Д. Если показатель степени равен 3, в примере
Этот квадратный корень дает значение 6.Также можно отметить, что возведение квадратного корня в квадрат удаляет корень.
Четыре
квадрат, умноженный на два в кубе — это не то же самое, что 8 в степени два плюс
три.
Это только для тестирования! Никакие настоящие призы не будут присуждаться из этой онлайн-игры, которая была аннулирована.
