Подготовка школьников к ЕГЭ и ОГЭ (Справочник по математике — Алгебра — Формулы сокращенного умножения
Формулы сокращенного умножения включают в себя следующие группы формул:

Сумма нечетных степеней
Группа формул «Сумма нечетных степеней» приведена в Таблице 3.
Таблица 3. – Сумма нечетных степеней
| Название формулы | Формула |
| Сумма кубов | x3 + y3 = (x + y) (x2 – xy + y2) |
| Сумма пятых степеней | x5 + y5 = (x + y) (x4 – x3y + x2y2 – xy3 + y4) |
| Сумма седьмых степеней | x7 + y7 = (x + y) (x6 – x5y + x4y2 – x3y3 + x2y4 – xy5 + y6) |
| … | … |
| Сумма степеней порядка 2n + 1 | x2n + 1 + y2n + 1 = (x + y) (x2n – x2n – 1y + x2n – 2 y2 – …– xy2n – 1 + y2n) |
Сумма кубов x3 + y3 = | |
Сумма пятых степеней x5 + y5 = | |
Сумма седьмых степеней x7 + y7 = | |
| … | |
Сумма степеней порядка 2n + 1
|
Разность нечетных степеней
Если в формулах из Таблицы 3 заменить y на – y , то мы получим группу формул «Разность нечетных степеней» (Таблица 4.):
Таблица 4. – Разность нечетных степеней
| Название формулы | Формула |
| Разность кубов | x3– y3 = (x – y) (x2 + xy + y2) |
| Разность пятых степеней | x5– y5 = (x – y) (x4 + x3y + x2y2 + xy3 + y4) |
Разность седьмых | x7– y7 = (x – y) (x6 + x5y + x4y2 + x3y3 + x2y4 + xy5 + y6) |
| … | … |
| Разность степеней порядка 2n + 1 | x2n + 1– y2n + 1 = (x – y) (x2n + x2n – 1y + x2n – 2 y2 + …+ xy2n – 1 + y2n) |
Разность кубов x3– y3 = | |
Разность пятых степеней x5– y5 = | |
Разность седьмых x7– y7 = | |
| … | |
Разность степеней порядка 2n + 1
|
Разность четных степеней
Группа формул «Разность четных степеней» приведена в Таблице 5.
Таблица 5. – Разность четных степеней
| Название формулы | Формула | |
| Разность квадратов | x2– y2 = (x + y) (x – y) | |
| Разность четвертых степеней |
| |
| Разность шестых степеней |
| |
| Разность восьмых степеней |
| |
| … | … | |
| Разность степеней порядка 2n | x2n– y2n = (x + y) (x2n – 1 – x2n – 2 y + x2n – 3 y2 – …+ xy2n – 2 – y2n – 1) , x2n– y2n = (x – y) (x2n – 1 + x2n – 2 y + x2n – 3 y2 + …+ xy2n – 2 + y2n – 1) |
Разность квадратов x2– y2 = (x + y) (x – y) | |||
Разность четвертых степеней
| |||
Разность шестых степеней
| |||
Разность восьмых степеней
| |||
| … | |||
Разность степеней порядка 2n
|
Замечание. Оба разложения на множители двучлена:
x2n– y2n ,
приведенные в последней строке Таблицы 5, можно продолжить и далее, по аналогии с тем, как это сделано в других строках таблицы.
Другие формулы сокращенного умножения можно посмотреть в разделе «Формулы сокращенного умножения: степень суммы, степень разности» нашего справочника.

На нашем сайте можно также ознакомиться нашими учебными материалами для подготовки к ЕГЭ и ОГЭ по математике.
www.resolventa.ru
Формулы понижения степени. Видеоурок. Алгебра 10 Класс
Тема: Преобразование тригонометрических выражений
Урок: Формулы понижения степени
На уроке выводятся формулы понижения степени для синуса и косинуса из формул двойного аргумента, также выводятся формулы понижения степени для тангенса и котангенса с использованием формул понижения степени для синуса и косинуса. Решается несколько задач с использованием данных формул.
Дано:

Доказать:
.
Доказательство:
1) 

2) 


Итак, степень понижается за счет удвоения аргумента:




Получается, 

1. Доказать:

Доказательство:

Анализ: ОДЗ не изменяется 
2. Доказать:

Доказательство:

Анализ: кроме
добавляется
, что сужает ОДЗ.
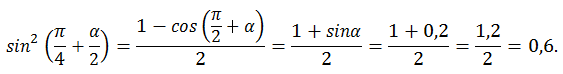
3. Дано:
Найти:

Анализ условия: Угол задан однозначно, см. рис.1.

Рис. 1.
Указание: все функции половинного аргумента можно вычислять через косинус полного аргумента.
Решение:
1) 
, то
, т.е. угол второй четверти, где синус величина положительная.
Ответ:
.
2)
Выше показали, что 
Ответ:
.
Проверка:



3) 
Ответ:
4) 
Ответ:
.
4. Дано:
Найти: 
Решение:

Ответ:
На уроке рассматривались формулы понижения степени и их использование при решении задач.
На следующем уроке будут рассмотрены формулы преобразования суммы тригонометрических функций в произведение.
Список рекомендованной литературы
1. Алгебра и начала анализа, 10 класс (в двух частях). Учебник для общеобразовательных учреждений (профильный уровень) под ред. А. Г. Мордковича. –М.: Мнемозина, 2009.
2. Алгебра и начала анализа, 10 класс (в двух частях). Задачник для общеобразовательных учреждений (профильный уровень) под ред. А. Г. Мордковича. –М.: Мнемозина, 2007.
3. Виленкин Н.Я., Ивашев-Мусатов О.С., Шварцбурд С.И. Алгебра и математический анализ для 10 класса (учебное пособие для учащихся школ и классов с углубленным изучением математики).-М.: Просвещение, 1996.
4. Галицкий М.Л., Мошкович М.М., Шварцбурд С.И. Углубленное изучение алгебры и математического анализа.-М.: Просвещение, 1997.
5. Сборник задач по математике для поступающих во ВТУЗы (под ред. М.И.Сканави).-М.:Высшая школа, 1992.
6. Мерзляк А.Г., Полонский В.Б., Якир М.С. Алгебраический тренажер.-К.: А.С.К., 1997.
7. ЗвавичЛ.И., Шляпочник Л.Я., Чинкина Алгебра и начала анализа. 8-11 кл.: Пособие для школ и классов с углубленным изучением математики (дидактические материалы).-М.: Дрофа, 2002.
8. Саакян С.М., Гольдман А.М., Денисов Д.В. Задачи по алгебре и началам анализа (пособие для учащихся 10-11 классов общеобразов. учреждений).-М.: Просвещение, 2003.
9. Карп А.П. Сборник задач по алгебре и началам анализа : учеб. пособие для 10-11 кл. с углубл. изуч. математики.-М.: Просвещение, 2006.
10. Глейзер Г.И. История математики в школе. 9-10 классы (пособие для учителей).-М.: Просвещение, 1983
Дополнительные веб-ресурсы
1. Интернет-портал Mathematics.ru (Источник).
2. Портал Естественных Наук (Источник).
3. Интернет-портал exponenta.ru (Источник).
Сделай дома
№№ 21.20(а, б), 21.22(а), 21.23 (Алгебра и начала анализа, 10 класс (в двух частях). Задачник для общеобразовательных учреждений (профильный уровень) под ред. А. Г. Мордковича. –М.: Мнемозина, 2007.)
interneturok.ru
Возведение в степень | Формулы с примерами
Формула возведения в степень
Степенью числа a с показателем n, называется произведение n сомножителей, каждый из которых равен a.
a — действительное число,
n — натуральное число.
Калькулятор возведения в степень онлайн
Правило возведения в степень
Степень показывает количество раз, которое некое число умножается на себя. Она обозначается малой цифрой (показателем степени) справа вверху от основного числа (основани степени).
Возведение в степень — действие нахождения степени:

Умножение числа на себя один раз называется возведением числа в квадрат.

Умножение числа на себя два раза называется возведением в куб.

Свойства возведения в степень
1. Если отрицательно число возвести в четную степень, то получим положительное число.

|
(-2)22 > 0;
(-3)34 > 0; (-5)88 > 0. |
2.Если отрицательное число возвести в нечетную степень, то получим отрицательное число.

! Возведение в степень — действие третьей ступени, его выполняют перед действиями второй ступени (умножением и делением) и первой ступени (сложением и вычитанем).

Возведение в степень примеры
1. x3 = x • x • x ;
a = x ;
2. k5 = k • k • k • k • k ;
a = k ;
3. 181 = 18 ;
a = 18;
4. 118 = 1;
a = 1 ;
5. 0 7 = 0;
a = 0;
6. 53 = 5 • 5 • 5 = 125 ;
a = 5 ;
7. 74 = 7 • 7 • 7 • 7 = 2 401 ;
a = 5 ;
formula-xyz.ru
| Техническая информация тут | Адрес этой страницы (вложенность) в справочнике dpva.ru: главная страница / / Техническая информация / / Математический справочник / / Математика для самых маленьких. Шпаргалки. Детский сад, Школа. / / Степенные функции y=xn и y=x1/n, n∈Z. Свойства, графики. Квадратичная функция. Свойства степеней. Свойства арифметических корней. Формулы сокращенного умножения. Примеры значения степенных функций. Поделиться:
| ||||||||||||||||||||||||||||||||||||||||||||||||||||||||||||||||||||||||||||||||||||
dpva.ru