Основные элементарные функции, их свойства и графики.
Основными элементарными функциями являются: постоянная функция (константа), корень n-ой степени, степенная функция, показательная, логарифмическая функция, тригонометрические и обратные тригонометрические функции.
Постоянная функция.
Постоянная
функция задается на множестве всех
действительных чисел формулой
,
гдеC –
некоторое действительное число.
Постоянная функция ставит в соответствие
каждому действительному значению
независимой переменной x одно
и то же значение зависимой переменной y –
значение С.
Постоянную функцию также называют
константой.
Графиком постоянной функции является прямая, параллельная оси абсцисс и проходящая через точку с координатами (0,C). Для примера покажем графики постоянных функций
,
которым на рисунке, приведенном ниже,
отвечают черная, красная и синяя прямые
соответственно. 
Свойства постоянной функции.
Область определения: все множество действительных чисел.
Постоянная функция является четной.
Область значений: множество, состоящее из единственного числа С.
Постоянная функция невозрастающая и неубывающая (на то она и постоянная).
Говорить о выпуклости и вогнутости постоянной не имеет смысла.
Асимптот нет.
Функция проходит через точку (0,C) координатной плоскости.
Корень n-ой степени.
Рассмотрим
основную элементарную функцию, которая
задается формулой 
Корень n-ой степени, n — четное число.
Начнем с функции корень n-ой степени при четных значениях показателя корня n.
Для
примера приведем рисунок с изображениями
графиков функций и
,
им соответствуют черная, красная и синяя
линии.

Аналогичный вид имеют графики функций корень четной степени при других значениях показателя.
Свойства функции корень n-ой степени при четных n.
Область определения: множество всех неотрицательных действительных чисел
.При x=0 функция

принимает значение, равное нулю.Эта функция общего вида (не является четной или нечетной).
Область значений функции:
.Функция
при
четных показателях корня возрастает
на всей области определения.Эта функция имеет выпуклость, направленную вверх, на всей области определения, точек перегиба нет.
Асимптот нет.
График функции корень n-ой степени при четных n проходит через точки (0,0) и(1,1).
Корень n-ой степени, n — нечетное число.
Функция
корень n-ой
степени с нечетным показателем
корня n определена
на всем множестве действительных чисел.
Для примера приведем графики функций 
,
им соответствуют черная, красная и синяя
кривые. 
При
других нечетных значениях показателя
корня графики функции
будут
иметь схожий вид.
Свойства функции корень n-ой степени при нечетных n.
Область определения: множество всех действительных чисел.
Эта функция нечетная.
Область значений функции: множество всех действительных чисел.
Функция
при
нечетных показателях корня возрастает
на всей области определения.Эта функция вогнутая на промежутке
и
выпуклая на промежутке
,
точка с координатами (0,0) –
точка перегиба.Асимптот нет.
График функции корень n-ой степени при нечетных n проходит через точки (-1,-1),(0,0) и (1,1).
studfile.net
Урок 13. Построение и преобразование графиков функций. Обзор графиков основных функций. Теория
Подготовка к ЕГЭ по математике
Эксперимент
Урок 13. Построение и преобразование графиков функций. Обзор графиков основных функций
Теория
Конспект урока
Начнем с построения графиков основных функций.
1) Линейная функция. Ее графиком является прямая.
Общий вид линейной функции:

где под
и
понимают следующие параметры:
угловой коэффициент;

Рассмотрим основные формы таких графиков в зависимости от значений параметров и поймем их названия.
показывает координату пересечения прямой с осью ординат;

прямая проходит через начало координат;

угол наклона прямой к положительному направлению оси абсцисс острый;

угол наклона прямой к положительному направлению оси абсцисс тупой;

прямая параллельна оси абсцисс.

Как видим, параметр «
Метод построения графика линейной функции самый стандартный, и называется «построение по точкам». Поскольку любая прямая может быть однозначно восстановлена по двум точкам, то нам будет достаточно определить координаты двух точек, удовлетворяющих функции, и затем провести через них прямую линию, которая и будет необходимым графиком.
Обычно для этого используется небольшая табличка, в которую записывают произвольно выбранные координаты точек по оси абсцисс, а затем для них вычисляют координаты точек по оси ординат.
Пример. Проделаем эти действия для функции
.
Решение.
Для вычисления необходимых игреков подставляем значения иксов в формулу, которая задает функцию. При этом удобно выбирать минимальные по модулю целые значения иксов для простоты расчетов:

После этого точки наносятся на координатную плоскость, и через них проводится прямая линия, которая и будет графиком.

Обратите внимание, что форма графика соответствует знакам коэффициентов функции.
2) Теперь рассмотрим квадратичную функцию и ее график, который принято называть параболой.
Общий вид квадратичной функции:

Где под параметрами
понимают:

второй коэффициент;
свободный член.
От знаков этих параметров зависит расположение параболы:
ветки параболы направлены вверх;
ветки параболы направлены вниз;
Знаки коэффициента
явно и наглядно ничего не определяют;
показывает координату пересечения параболы с осью ординат.
Уже можно было обратить внимание, что в графиках функций, которые представлены в виде многочленов, свободный коэффициент показывает точку пересечения с осью ординат. А в общем случае такой точкой является значение функции при подстановке аргумента, равного нулю.
Для ознакомления с изображением параболы построение следует начать с простейшего частного случая рассматриваемой функции
.

Для построения параболы по общему виду функции есть несколько стандартных приемов, укажем один наиболее простой и удобный из них.
Метод построения «по вершине».
В этом способе сначала находят координаты вершины, а затем в зависимости от знака старшего коэффициента строят эскиз графика.
Координаты вершины находят по следующим формулам:

Как видим, для вычисления значения игрековой координаты вершины выполняется подстановка в функцию найденного значения иксовой координаты вершины.
После этого вершина обозначается в системе координат и с учетом известного нам направления веток параболы в зависимости от знака старшего коэффициента функции изображается эскиз графика.
Пример. Построить график функции
.
Решение. Воспользуемся указанными формулами для
.
,
.
Учтем, что
, т.е. ветки параболы направлены вверх. Для точности нанесем точку пересечения с осью
:
.

Чтобы увеличить точность построения графика, можно найти и точки его пересечения с осью
. Решим для этого уравнение
, как мы уже знаем, приравняв функцию к нулю. Но мы не будем делать этого в примере, если вам интересно, то можете проделать это действие самостоятельно и решить квадратное уравнение.
3) Перейдем к простейшему виду дробно-рациональной функции, графиком которой является гипербола.
Общий вид такой функции
, т.е. в числителе и знаменателе дроби находятся линейные двучлены.
У указанных параметров нет общепринятых названий.
Начнем знакомство с графиком, который называют гиперболой, с изображения простейшего частного случая дробно-рациональной функции, когда
, т.е.
. Он имеет вид:

Как видим, у графика есть вспомогательные элементы, которые называются «асимптоты». Их две: горизонтальная и вертикальная.
Вспомним, что вертикальная асимптота строится в координате по оси абсцисс, при которой знаменатель дроби превращается в ноль.
Горизонтальная асимптота проводится в том значении координаты по оси ординат, к которому стремится функция при аргументе, стремящемся к бесконечности. Для функций указанного типа горизонтальную асимптоту можно найти и проще, значением ее игрековой координаты будет отношение коэффициента при иксе в числителе и в знаменателе. Разобраться почему так вы можете изучив тему «Предел функции».
Пример. Построим график дробно-рациональной функции общего положения
.
Способ построения мы назовем «по асимптотам» и он будет состоять из трех шагов:
1. Находим уравнение вертикальной асимптоты:
;
2. Находим уравнение горизонтальной асимптоты:
. Можно так же воспользоваться способом приведения числителя к константе, который мы показали в предыдущем уроке.
3. Расположение веток гиперболы неоднозначно: или справа вверху и слева внизу, например, в простейшем случае

или слева вверху и справа внизу, например,

Поэтому необходимо точно определить, как они будут изображаться. Для этого просто подставим любое целое значение икса в функцию из области определения и найдем одну точку, которая принадлежит графику.
Подставим, например,
и построим ее в системе координат с найденными асимптотами.

Ветки гиперболы должны прижиматься к асимптотам и по расположению построенной точки мы определяем положение одной из веток гиперболы, а соответственно и другой, т.к. ветки всегда лежат наискось относительно друг друга, если к графику не применялись специальные преобразования.
Теперь менее подробно перечислим графики основных функций, для которых не выделяют отдельных методов построения. Также вспомним графики тех функций, которые мы недавно изучали.
4) График неизвестной в четной степени
, где
выглядит, как график простейшей параболы
:

А график неизвестной в нечетной степени
, где
, например,
, выглядит, как так называемая кубическая парабола:

5) График корня четной степени
, где
, например,
, имеет следующий вид:

6) График корня нечетной степени
, где
, например,
, имеет следующий вид:

Точное построение таких графиков выполняется с подстановкой контрольных точек.
7) График модуля неизвестной
выглядит следующим образом:

Еще его иногда называют «птичкой».
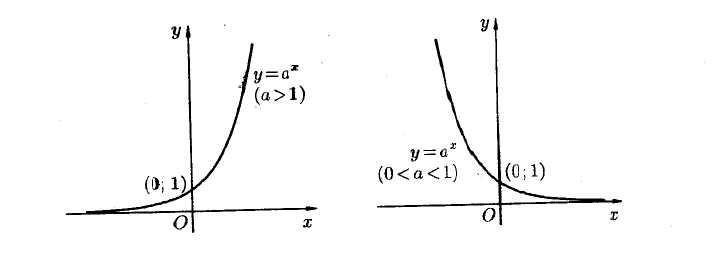
8) Графики показательной функции
делятся на два типа в зависимости от значения основания степени.
1. 

2. 

Вспомним, что случаи с отрицательным основанием степени и равным единице не рассматриваются.
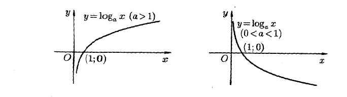
9) Графики логарифмической функции
также делятся на два типа в зависимости от значения основания логарифма.
1. 

2. 

Для данной функции
и
, как и для показательной, не рассматриваются.
10) Вспомним графики четырех основных тригонометрических функций.
1. 

2. 

3. 

4. 

Вспомним об особом свойстве тригофункций – их периодичности.
Мы указали графики не всех функций, а только основные. Например, мы не повторили графики аркфункций из-за их редкости. Если хотите повторить их, то обратитесь к соответствующему уроку
Теперь перейдем ко второй части урока, в которой познакомимся с основными видами преобразований графиков функций. Такие преобразования необходимы для умения строить сложные функции, которые преобразуются из простейших.
Первый тип преобразований мы рассмотрим на примере трех принципиально разных типов функций, чтобы стало понятно, что способы преобразований универсальны. Каждое из остальных преобразований мы продемонстрируем на примере какой-нибудь одной наиболее наглядной функции.
1) Изменение знака аргумента
.
Правило. График функции симметрично отображается относительно оси
.












2) Изменение знака функции
.
Правило. График функции отображается симметрично относительно оси
.




3) Добавление/вычитание числа из аргумента
.
Правило. График функции сдвигается вдоль оси абсцисс при добавлении – влево, а при вычитании – вправо на число, которое равно «
».








4) Добавление/вычитание числа из функции
.
Правило. График функции сдвигается вдоль оси ординат при добавлении – вверх, а при вычитании – вниз на число, которое равно «
».

interneturok.ru
Основные элементарные функции и их графики.
Показательная


Логарифмическая
функция 
Степенная функция

Тригонометрические
функции

Обратные
тригонометрические функции 
Опр. Функция, задаваемая одной формулой, составленной из основных элементарных функций и постоянных с помощью конечного числа арифметических операций (сложения, вычитания, умножения, деления) и операции взятия функции от функции, называется элементарной функцией.
Примеры элементарных функций:
.
Примеры не элементарных функций:
;
.
Числовая последовательность.
Опр.
Под числовой
последовательностью
понимается функция
,
заданная на множестве натуральных чисел N.
Обозначают:
.
—
первый член последовательности,
— второй член последовательности, …,
— общий или n–й
член последовательности. Чаще всего
последовательность задается формулой,
которая позволяет вычислить любой член
последовательности.
Например:
1) 
и т.д.
Получаем
числовую последовательность 2, 5, 10, 17,
…,
,
…
2) 

3)
-1, 1, -1, 1 ,-1, ….
Опр. Последовательность
называется ограниченной,
если существует такое число М>0,
что для любого 
.
В противном случае – не ограниченной.
Пример:
М=1 
.
Опр.
Последовательность
называется возрастающей, если для любого
выполняется неравенство
; убывающей
.
Опр.
Если все элементы последовательности
равны одному и тому же числу С, то она называется постоянной.
Например,
1, 1, 1, …..
Опр.
Число а называется
пределом числовой последовательности
,
если для любого
существует такое натуральное число N,
что при всех
выполняется неравенство
.
Пишут
.
Геометрически:
число а называется
пределом последовательности
,
если для любой
-окрестности
точки а найдется натуральное число N,
что все значения
,
для которых
,
попадут в
-окрестность
точки а;
чем меньше
,
тем больше N,
но в любом случае в
-окрестности
точки а находится бесконечное число членов
последовательности, а вне её может быть
лишь конечное их число.
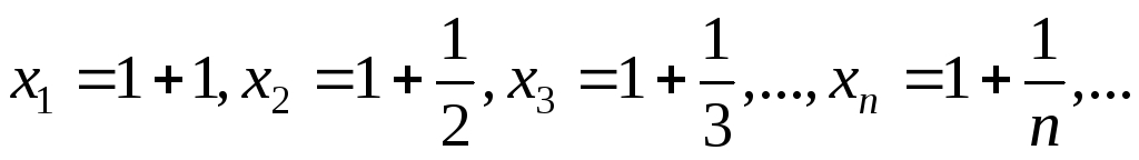
Пример.
Пусть переменная величина x последовательно принимает значения

Докажем,
что предел этой числовой последовательности
равен 1. Возьмем произвольное положительное
число ε.
Нам нужно найти такое натуральное число N,
что при всех
выполняется неравенство
.
Действительно, т.к.
,
то для выполнения соотношения
достаточно, чтобы
или
.
Поэтому, взяв в качестве N любое натуральное число, удовлетворяющее
неравенству
,
получим что нужно. Так если взять,
например,
,
то, положив N=6,
для всех
будем иметь
.
Сходящаяся последовательность имеет только один предел. Последовательность, не имеющая предела, называется расходящейся.
Пример
расходящейся последовательности:
; 
Теорема. Всякая монотонная ограниченная последовательность имеет предел.
Пример:
1)
.
Последовательность возрастающая
(монотонная)
и ограниченная
.
Предел последовательности равен единице
.
2) 
.
Предел функции.
Опр.
Пусть
–
любое действительное число. Окрестностью
точки
называется любой интервал
,
содержащий точку
.
В частности, интервал
,
где
,
называется
—
окрестностью точки
.
Если
то выполняется неравенство
или, что то же,
.
Выполнение последнего неравенства
означает попадание точки х в
-окрестность
точки
.
Опр.
Пусть функция
определена в некоторой окрестности
точки
,
кроме, быть может, самой точки
. Число
А называется пределом функции
в точке
(или при
),
если для любого положительного числа
найдется такое положительное число
,
что для всех
,
удовлетворяющих неравенству
,
выполняется неравенство
.
Записывают
.
Геометрический
смысл предела: точки графика функции
лежат внутри полосы шириной 2
,
ограниченной прямыми
.
Величина
зависит
от выбора
,
т.е.
.

Опр.
Если функция
имеет
пределом число
,
при условии, что х стремится
к
,
оставаясь меньше, чем
,
то принята запись
,
число
называют односторонним
пределом функции слева.
Опр.
Если
является пределом функции
при условии, что х стремится
к
,
оставаясь больше, чем
,
то
называют односторонними
пределом функции справа и обозначают
.
Для
существования предела А функции
в точке
необходимо и достаточно, чтобы существовали
в этой точке пределы функции слева и
справа и чтобы они были равны между
собой
.
Пример.
Рассмотрим функцию y=f(x), определенную на отрезке [0,4] следующим образом


Найдем пределы функции f(x) при x→3. Очевидно,
,
а
,
т.е. функция в точке х=3 не имеет двустороннего предела.
Понятие предела функции в бесконечно удаленной точке.
До сих пор мы рассматривали пределы для случая, когда переменная величина x стремилась к определенному постоянному числу.
Будем
говорить, что переменная x стремится к бесконечности,
если для каждого заранее заданного
положительного числа M (оно может быть сколь угодно большим)
можно указать такое значение
,
начиная с которого, все последующие
значения переменной будут удовлетворять
неравенству |x|>M.
Например, пусть переменная х принимает значения x1= –1, x2=2, x3= –3, …, xn=(–1)nn, … Ясно, что это бесконечно большая переменная величина, так как при всех M > 0 все значения переменной, начиная с некоторого, по абсолютной величине будут больше M.
Переменная
величина
,
если при произвольном
все последующие значения переменной,
начиная с некоторого, удовлетворяют
неравенству
.
Аналогично,
,
если при любом 
.
Будем
говорить, что функция
стремится к пределу b при
,
если для произвольного малого
положительного числа ε
можно указать такое положительное число M,
что для всех значений x,
удовлетворяющих неравенству
,
выполняется неравенство
.
Обозначают
.
П
ример.
Используя
определение, доказать, что
.
Нужно
доказать, что при произвольном ε
будет выполняться неравенство
,
как только
,
причем число М должно определяться выбором ε.
Записанное неравенство эквивалентно
следующему 
,
которое будет выполняться, если
.
Это и значит, что
(см. рис.).
studfile.net
3.Линейная функция вида y = kx + b
Линейной функцией называется функция вида y = kx + b, заданная на множестве всех действительных чисел. Здесь k – угловой коэффициент (действительное число), b – свободный член (действительное число), x – независимая переменная.
В частном случае, если k = 0, получим постоянную функцию y = b, график которой есть прямая, параллельная оси Ox, проходящая через точку с координатами (0; b).
Если b = 0, то получим функцию y = kx, которая является прямой пропорциональностью.
Геометрический смысл коэффициента b – длина отрезка, который отсекает прямая по оси Oy, считая от начала координат.
Геометрический смысл коэффициента k – угол наклона прямой к положительному направлению оси Ox, считается против часовой стрелки.
Свойства линейной функции:
1) Область определения линейной функции есть вся вещественная ось;
2) Если k ≠ 0, то область значений линейной функции есть вся вещественная ось. Если k = 0, то область значений линейной функции состоит из числа b;
3) Четность и нечетность линейной функции зависят от значений коэффициентов k и b.
a) b ≠ 0, k = 0, следовательно, y = b – четная;
b) b = 0, k ≠ 0, следовательно y = kx – нечетная;
c) b ≠ 0, k ≠ 0, следовательно y = kx + b – функция общего вида;
d) b = 0, k = 0, следовательно y = 0 – как четная, так и нечетная функция.
4) Свойством периодичности линейная функция не обладает;
5) Точки пересечения с осями координат:
Ox: y = kx + b = 0, x = -b/k, следовательно (-b/k; 0) – точка пересечения с осью абсцисс.
Oy: y = 0k + b = b, следовательно (0; b) – точка пересечения с осью ординат.
Замечание.Если b = 0 и k = 0, то функция y = 0 обращается в ноль при любом значении переменной х. Если b ≠ 0 и k = 0, то функция y = b не обращается в ноль ни при каких значениях переменной х.
6) Промежутки знакопостоянства зависят от коэффициента k.
a) k > 0; kx + b > 0, kx > -b, x > -b/k.
y = kx + b – положительна при x из (-b/k; +∞),
y = kx + b – отрицательна при x из (-∞; -b/k).
b) k < 0; kx + b < 0, kx < -b, x < -b/k.
y = kx + b – положительна при x из (-∞; -b/k),
y = kx + b – отрицательна при x из (-b/k; +∞).
c) k = 0, b > 0; y = kx + b положительна на всей области определения,
k = 0, b < 0; y = kx + b отрицательна на всей области определения.
7) Промежутки монотонности линейной функции зависят от коэффициента k.
k > 0, следовательно y = kx + b возрастает на всей области определения,
k < 0, следовательно y = kx + b убывает на всей области определения.
8) Графиком линейной функции является прямая. Для построения прямой достаточно знать две точки. Положение прямой на координатной плоскости зависит от значений коэффициентов k и b. Ниже приведена табл
www.sites.google.com
2.Квадратичная функция y=x² — Функции и их графики
В уравнении квадратичной функции:
a – старший коэффициент
b – второй коэффициент
с — свободный член.
Графиком квадратичной функции является квадратичная парабола, которая для функции
имеет вид:

Точки, обозначенные зелеными кружками – это, так
называемые «базовые точки». Чтобы найти координаты этих точек для
функции
, составим таблицу:

Внимание! Если в уравнении квадратичной функции старший коэффициент
, то график квадратичной функции имеет ровно такую же форму, как график функции
при любых значениях остальных коэффициентов.
График функции
имеет вид:

Для нахождения координат базовых точек составим таблицу:

Обратите внимание, что график функции
симметричен графику функции
относительно оси ОХ.
Итак, мы заметили:
Если старший коэффициент a>0, то ветви параболы напрaвлены вверх.
Если старший коэффициент a<0, то ветви параболы напрaвлены вниз.
Второй параметр для построения графика функции – значения х, в которых функция равна нулю, или нули функции. На графике нули функции
— это точки пересечения графика функции
с осью ОХ.
Поскольку ордината (у) любой точки, лежащей на оси ОХ равна нулю, чтобы найти координаты точек пересечения графика функции
с осью ОХ, нужно решить уравнение
.
В случае квадратичной функции
нужно решить квадратное уравнение 
www.sites.google.com
.
.
при
четных показателях корня возрастает
на всей области определения.
при
нечетных показателях корня возрастает
на всей области определения.
и
выпуклая на промежутке
,
точка с координатами (0,0) –
точка перегиба.
Логарифмическая
функция 

Тригонометрические
функции
Обратные
тригонометрические функции 