Подготовка к олимпиадам. Средняя скорость, 8 класс.
Задача 1. Велосипедист время
ехал со скоростью
км/ч, а затем время
со скоростью
км/ч. Определите среднюю скорость велосипедиста.
Средняя скорость рассчитывается как весь путь, отнесенный ко всему времени движения.
![Rendered by QuickLaTeX.com \[\upsilon_{sr}=\frac{S}{t_p}\]](/800/600/https/easy-physic.ru/wp-content/ql-cache/quicklatex.com-767a999e584946f7e72c4a0257a8fd64_l3.png)
Все время равно
.
Весь путь равен
![Rendered by QuickLaTeX.com \[S=\upsilon_1\cdot t+\upsilon_2\cdot 4t=20t+160t=180t\]](/800/600/https/easy-physic.ru/wp-content/ql-cache/quicklatex.com-7d8fd84be2605f46ef801d4fd8c7567f_l3.png)
Тогда средняя скорость равна
![Rendered by QuickLaTeX.com \[\upsilon_{sr}=\frac{S}{t_p}=\frac{180t }{5t}=36\]](/800/600/https/easy-physic.ru/wp-content/ql-cache/quicklatex.com-3cf91eee35f378bd65e0600c1bd7006c_l3.png)
Ответ: 36 км/ч
Задача 2. Велосипедист расстояние 
км/ч, а затем расстояние
со скоростью
км/ч, определите среднюю скорость велосипедиста.Средняя скорость рассчитывается как весь путь, отнесенный ко всему времени движения.
![Rendered by QuickLaTeX.com \[\upsilon_{sr}=\frac{S}{t_p}\]](/800/600/https/easy-physic.ru/wp-content/ql-cache/quicklatex.com-767a999e584946f7e72c4a0257a8fd64_l3.png)
Весь путь равен
.
Все время равно
![Rendered by QuickLaTeX.com \[t_p=t_1+t_2=\frac{S}{\upsilon_1}+\frac{5S}{\upsilon_2}=S\frac{\upsilon_2+5\upsilon_1}{\upsilon_1\upsilon_2}\]](/800/600/https/easy-physic.ru/wp-content/ql-cache/quicklatex.com-ccd0353f81de9e991d8e58aa1e4882b3_l3.png)
Тогда средняя скорость равна
![Rendered by QuickLaTeX.com \[\upsilon_{sr}=\frac{S}{t_p}=\frac{6S \upsilon_1\upsilon_2}{S(5\upsilon_1+\upsilon_2)}=\frac{6\cdot20\cdot60}{100+60}=45\]](/800/600/https/easy-physic.ru/wp-content/ql-cache/quicklatex.com-17d43502e8e99c6009889496e224a8d9_l3.png)
Ответ: 45 км/ч
Задача 3. Автомобиль половину пути ехал со скоростью 
Средняя скорость рассчитывается как весь путь, отнесенный ко всему времени движения.
![Rendered by QuickLaTeX.com \[\upsilon_{sr}=\frac{2S}{t_p}\]](/800/600/https/easy-physic.ru/wp-content/ql-cache/quicklatex.com-187796cb67acc4408a4292ecfe1c3300_l3.png)
Весь путь равен
– так его удобней будет делить пополам.
Все время равно
.
Определим отрезки времени 
: ![Rendered by QuickLaTeX.com \[t_1=\frac{S}{\upsilon}\]](/800/600/https/easy-physic.ru/wp-content/ql-cache/quicklatex.com-349b23eacc6e03d96ee98f8cff6aad5c_l3.png)
![Rendered by QuickLaTeX.com \[t_2=\frac{S}{4\upsilon}\]](/800/600/https/easy-physic.ru/wp-content/ql-cache/quicklatex.com-ae5ab31902a22785e5b19a4f28f9a2d9_l3.png)
Тогда средняя скорость равна
![Rendered by QuickLaTeX.com \[\upsilon_{sr}=\frac{2S}{t_1+t_2}=\frac{2S }{\frac{S}{\upsilon}+\frac{S}{4\upsilon}}=1,6\upsilon\]](/800/600/https/easy-physic.ru/wp-content/ql-cache/quicklatex.com-6633d62366b9e366bcc2e438185d1388_l3.png)
Ответ:
.
Задача 4. Первую половину пути автобус шел со скоростью в 8 раз большей, чем вторую. Средняя скорость автобуса на всем пути оказалась 16 км/ч. Определите скорость автобуса на второй половине пути.
Эта задача аналогична предыдущей.
Средняя скорость рассчитывается как весь путь, отнесенный ко всему времени движения.
![Rendered by QuickLaTeX.com \[\upsilon_{sr}=\frac{2S}{t_p}\]](/800/600/https/easy-physic.ru/wp-content/ql-cache/quicklatex.com-187796cb67acc4408a4292ecfe1c3300_l3.png)
Весь путь равен
– так его удобней будет делить пополам.
Все время равно
.
Определим отрезки времени
и
:
![Rendered by QuickLaTeX.com \[t_1=\frac{S}{8\upsilon}\]](/800/600/https/easy-physic.ru/wp-content/ql-cache/quicklatex.com-27c6b8c56c549215f9a3320757b11224_l3.png)
![Rendered by QuickLaTeX.com \[t_2=\frac{S}{\upsilon}\]](/800/600/https/easy-physic.ru/wp-content/ql-cache/quicklatex.com-ee7692078c6a1c900527ae71325f79ae_l3.png)
Тогда средняя скорость равна
![Rendered by QuickLaTeX.com \[\upsilon_{sr}=\frac{2S}{t_1+t_2}=\frac{2S }{\frac{S}{8\upsilon}+\frac{S}{\upsilon}}=\frac{16}{9}\upsilon=16\]](/800/600/https/easy-physic.ru/wp-content/ql-cache/quicklatex.com-e8b4e02d2855e35eb0123ffba4f19647_l3.png)
Откуда
км/ч.
Ответ:
км/ч.
Задача 5. Автомобиль проехал расстояние
. Первую часть пути автомобиль ехал со скоростью в два раза меньше средней, а вторую часть пути – со скоростью в три раза больше средней. Найдите длину первой части пути.

Рисунок 1
Обозначим первую часть пути
. Тогда длина второй –
.
Пусть время, затраченное на первую часть пути
:
![Rendered by QuickLaTeX.com \[t_1=\frac{S}{\frac{\upsilon_{sr}}{2}}=\frac{2S}{\upsilon_{sr}}\]](/800/600/https/easy-physic.ru/wp-content/ql-cache/quicklatex.com-d232a21c5c60da58feebd6f7bb949193_l3.png)
Тогда на второй участок автомобиль потратит время
:
![Rendered by QuickLaTeX.com \[t_2=\frac{L-S}{3\upsilon_{sr}}=\frac{L}{3\upsilon_{sr}}-\frac{S}{3\upsilon_{sr}}\]](/800/600/https/easy-physic.ru/wp-content/ql-cache/quicklatex.com-c4db2a8300457a4b66ff8b368618aa69_l3.png)
Тогда общее время движения
![Rendered by QuickLaTeX.com \[t_1+t_2=\frac{2S}{\upsilon_{sr}}+\frac{L}{3\upsilon_{sr}}-\frac{S}{3\upsilon_{sr}}=\frac{L}{3\upsilon_{sr}}+\frac{5S}{3\upsilon_{sr}}\]](/800/600/https/easy-physic.ru/wp-content/ql-cache/quicklatex.com-cab60899e78ff68a454b305dd69226cd_l3.png)
Путь 
![Rendered by QuickLaTeX.com \[L=\upsilon_{sr}( t_1+t_2)\]](/800/600/https/easy-physic.ru/wp-content/ql-cache/quicklatex.com-12004aaeebaf0a70a9f11655f923d4a2_l3.png)
Тогда
![Rendered by QuickLaTeX.com \[L=\frac{L}{3}+\frac{5S}{3}\]](/800/600/https/easy-physic.ru/wp-content/ql-cache/quicklatex.com-0ba91dd92d75a944eeacbeb7f722f2a7_l3.png)
Или
![Rendered by QuickLaTeX.com \[\frac{5S}{3}=\frac{2L}{3}\]](/800/600/https/easy-physic.ru/wp-content/ql-cache/quicklatex.com-40615fbd51c05b5f93641ffe7b9cc394_l3.png)
![Rendered by QuickLaTeX.com \[S=0,4L\]](/800/600/https/easy-physic.ru/wp-content/ql-cache/quicklatex.com-23ab26d79a8356cab8c4fb9bb9b4af32_l3.png)
Ответ:
.
Задача 6. Восьмиклассник ходит в школу из дома с постоянной скоростью
м/с. Однажды, выйдя вовремя, чтобы прийти к началу урока, он решает вернуться с полпути домой, так как вспомнил, что забыл дома дневник. Успеет ли мальчик в школу к началу урока, если с этого момента будет бежать со скоростью 14,4 км/ч.
Переведем для начала скорость в м/с:
![Rendered by QuickLaTeX.com \[\upsilon_2=\frac{14400}{3600}=4\]](/800/600/https/easy-physic.ru/wp-content/ql-cache/quicklatex.com-2ae3103232799691a98cc2bb4d610b36_l3.png)
Пусть все расстояние до школы равно
. Тогда обычно парень затрачивает время
![Rendered by QuickLaTeX.com \[t_1=\frac{2S}{\upsilon_1}\]](/800/600/https/easy-physic.ru/wp-content/ql-cache/quicklatex.com-2a16a6c7b70fb140e162dab19d9a1d68_l3.png)
Поскольку он возвращался с половины пути, то эту половину он прошел как обычно, затратив время
, а потом бежал эту половину назад и еще весь путь до школы, затратив время
:
![Rendered by QuickLaTeX.com \[t_2=\frac{S}{\upsilon_1}+\frac{3S}{\upsilon_2}\]](/800/600/https/easy-physic.ru/wp-content/ql-cache/quicklatex.com-0bb14140eb5543e09e1474be8a05907c_l3.png)
Сравним эти два времени:
![Rendered by QuickLaTeX.com \[\frac{2S}{\upsilon_1} <> \frac{S}{\upsilon_1}+\frac{3S}{\upsilon_2}\]](/800/600/https/easy-physic.ru/wp-content/ql-cache/quicklatex.com-a2a13c2f9a56c5886a150895ca4ae6d1_l3.png)
Очевидно, что можно сравнивать
![Rendered by QuickLaTeX.com \[\frac{S}{\upsilon_1} <> \frac{3S}{\upsilon_2}=\frac{3S}{2\upsilon_1}\]](/800/600/https/easy-physic.ru/wp-content/ql-cache/quicklatex.com-c2c151dbf6855b873397eb4e9d9c3fea_l3.png)
Правая часть больше, следовательно, юноша опоздает.
Ответ: не успеет.
Задача 7. В полдень из деревни в город выехал автомобиль. Он ехал с постоянной скоростью и прибыл бы в город в час дня. Но в дороге двигатель заглох, и водитель потратил на ремонт треть времени ушедшего на дорогу от деревни до места поломки. Чтобы успеть в город по расписанию, водителю пришлось ехать оставшуюся часть пути со скоростью в два раза больше запланированной. Какое время показывали часы в тот момент, когда заглох двигатель?

Рисунок 2
Без поломки автомобиль проехал бы свой путь за час. Обозначим этот промежуток времени
. Пусть время
автомобиль двигался до поломки. Тогда
он чинился. После ремонта он двигался еще какое-то время
:
![Rendered by QuickLaTeX.com \[t+\frac{t}{3}+ t_1=\tau\]](/800/600/https/easy-physic.ru/wp-content/ql-cache/quicklatex.com-c258f1f82125873e84421005c7422dae_l3.png)
Время
можно записать выражением. Это оставшийся автомобилисту путь, деленный на скорость. Весь путь –
, на первом участке прошли
, следовательно:
![Rendered by QuickLaTeX.com \[t_1=\frac{l-\upsilon t }{2\upsilon }\]](/800/600/https/easy-physic.ru/wp-content/ql-cache/quicklatex.com-32bc569e49d49defc4022cebb1670385_l3.png)
Тогда наше первое уравнение после подстановки в него
изменится:
![Rendered by QuickLaTeX.com \[\frac{4t}{3}+ \frac{l-\upsilon t }{2\upsilon }=\tau\]](/800/600/https/easy-physic.ru/wp-content/ql-cache/quicklatex.com-77c2669f4ea789f76352bae2c65de411_l3.png)
![Rendered by QuickLaTeX.com \[\frac{4t}{3}+ \frac{l}{2\upsilon }-\frac{t}{2}=\tau\]](/800/600/https/easy-physic.ru/wp-content/ql-cache/quicklatex.com-28a204ed24d18aad5f10db8e58cbfb90_l3.png)
А
, в свою очередь,
:
![Rendered by QuickLaTeX.com \[\frac{5t}{6}+ \frac{l}{2\upsilon }=\frac{l}{\upsilon}\]](/800/600/https/easy-physic.ru/wp-content/ql-cache/quicklatex.com-3629936b639fcea1c773b9b59d1d95f9_l3.png)
Откуда
![Rendered by QuickLaTeX.com \[\frac{5t}{3}=\frac{l}{\upsilon}=\tau\]](/800/600/https/easy-physic.ru/wp-content/ql-cache/quicklatex.com-52bef05418321e372530b419e14ebc78_l3.png)
![Rendered by QuickLaTeX.com \[t=\frac{3}{5}\tau\]](/800/600/https/easy-physic.ru/wp-content/ql-cache/quicklatex.com-72b949f2d77c52ff057e46b91ff871b6_l3.png)
То есть до поломки автомобиль был в дороге 36 минут, следовательно, часы показывали 12.36, когда он сломался.
Ответ: 12.36.
Задача 8. Первую половину пути Баба-Яга летела со скоростью 20 км/ч. Затем погода испортилась, и половину всего времени движения Яга пролетела со скоростью 10 км/ч. В довершение бед у неё сломалась метла, и пришлось оставшееся время идти пешком со скоростью 5 км/ч. Найти среднюю скорость бабушки.
Пусть все время движения
, а весь путь
.
Тогда средняя скорость равна
![Rendered by QuickLaTeX.com \[\upsilon_{sr}=\frac{2S}{2t}\]](/800/600/https/easy-physic.ru/wp-content/ql-cache/quicklatex.com-1c683776a30344c51fe9cc1ef5a34125_l3.png)
Здесь нам нужно определить либо путь бабушки, либо время ее движения. То есть имеется два способа решить задачу.
Первый способ, определить путь.
![Rendered by QuickLaTeX.com \[2S=S+\upsilon_2 t+\upsilon_3(t-\frac{S}{\upsilon_1})~~~~~~~~~~~~(1)\]](/800/600/https/easy-physic.ru/wp-content/ql-cache/quicklatex.com-f4dc65b8abfd62bc8dcc49d5fadd8ce5_l3.png)
Здесь
– первая половина, пройденная со скоростью 20 км/ч,
– половина времени, это время бабушка летела со скоростью
км/ч. На последнюю часть ушло время
, скорость на этом участке
.
Второй способ, определить время:
![Rendered by QuickLaTeX.com \[2t=\frac{S}{\upsilon_1}+t+\frac{S-\upsilon_2 t}{\upsilon_3}}\]](/800/600/https/easy-physic.ru/wp-content/ql-cache/quicklatex.com-d9e3f4276414026d11acdf0f2008acfd_l3.png)
Здесь
– время прохождения первого участка,
– расстояние, пройденное на третьем участке.
Наша цель – получить отношение
.
Из (1)
![Rendered by QuickLaTeX.com \[S=\upsilon_2 t+\upsilon_3 t-\frac{\upsilon_3}{\upsilon_1}S\]](/800/600/https/easy-physic.ru/wp-content/ql-cache/quicklatex.com-7bb265cc3c125aed1bc885836d73d24f_l3.png)
![Rendered by QuickLaTeX.com \[S+\frac{\upsilon_3}{\upsilon_1}S=(\upsilon_2 +\upsilon_3 )t\]](/800/600/https/easy-physic.ru/wp-content/ql-cache/quicklatex.com-b7a76ab8a902a988b0f3a020ee88fff2_l3.png)
![Rendered by QuickLaTeX.com \[\frac{S}{t}=\frac{\upsilon_2 +\upsilon_3}{1+\frac{\upsilon_3}{\upsilon_1}}=\frac{(\upsilon_2 +\upsilon_3) \upsilon_1}{\upsilon_1 +\upsilon_3}=\frac{(10 +5) 20}{20+5}=12\]](/800/600/https/easy-physic.ru/wp-content/ql-cache/quicklatex.com-e0fe14e27d3189039d6262df907dd1da_l3.png)
Ответ: 12 км/ч.
Задача 9. Мальчику разрешили погулять по лесу сорок пять минут. В течение 20 минут он шёл с постоянной скоростью на север, затем в течение 15 минут он с той же скоростью шёл на запад. Вспомнив о времени прогулки, он поторопился вернуться назад, и побежал по кратчайшему пути со скоростью в два раза большей, чем шёл до этого. Успеет ли мальчик вернуться к намеченному сроку? Ответ обосновать.

Рисунок 3
По теореме Пифагора
![Rendered by QuickLaTeX.com \[(\upsilon t_1)^2+(\upsilon t_2)^2=(2\upsilon t_3)^2\]](/800/600/https/easy-physic.ru/wp-content/ql-cache/quicklatex.com-af4c747d67a276f8b5df85c54214ff34_l3.png)
![Rendered by QuickLaTeX.com \[t_1^2+t_2^2=4t_3^2\]](/800/600/https/easy-physic.ru/wp-content/ql-cache/quicklatex.com-58da36634c39a28c8d21ce2de9a1a8a4_l3.png)
![Rendered by QuickLaTeX.com \[t_3=\frac{\sqrt{ t_1^2+t_2^2}}{2}=\frac{\sqrt{ 225+400}}{2}=12,5\]](/800/600/https/easy-physic.ru/wp-content/ql-cache/quicklatex.com-164f01d75cc59fc0f71d8b592d672899_l3.png)
Так как 35 минут уже прошло (то есть на возвращение оставалось 10 минут), то мальчик опоздает на 2,5 минуты.
Ответ: не успеет.
easy-physic.ru
Средняя скорость — Физика — 7 класс
Просмотр содержимого документа
«Средняя скорость»
1.Алгоритм решения задачи на нахождение средней скорости (по времени)
Найдем путь на первом участке
Найдем путь на втором участке
Найдем путь на всем участке движения
Найдем среднюю скорость по формуле

Подставим данные (получим ответ)
2. Алгоритм решения задачи на нахождение средней скорости (по пути)
Найдем время на первом участке
Найдем время на втором участке
Найдем все время движения тела
Найдем среднюю скорость по формуле

Подставим данные (получим ответ)
В некоторых задачах, вместо трехэтажной дроби, использовался знак деления — : (две точки)
Задачи:
1.Велосипедист первую половину времени из одного пункта в другой ехал со скоростью 15 км/ч, а вторую половину времени — со скоростью 45 км/ч. Определите среднюю скорость движения велосипедиста. Ответ дайте в км/ч.

2. Из пункта А в В мотоциклист двигался первую половину времени со скоростью 60 км/ч, а вторую половину времени — со скоростью 10 км/ч. Определите среднюю скорость мотоциклиста за все время движения. Ответ дайте в км/ч.
Указание: считать все время движения равным 2t)

3. Первые 3 ч автомобиль ехал со скоростью 60 км/ч, следующие 2ч — со скоростью 80 км/ч, а затем 1ч — со скоростью 100 км/ч. Найдите среднюю скорость автомобиля на протяжении всего пути. Ответ дайте в км/ч, округлив до 0,1.
5.
6.

4. Первые 120 км автомобиль ехал в течении 1ч 10мин, следующие 150 км он проехал за 3600с, Найдите среднюю скорость автомобиля. Ответ дайте в км/ч, округлив до 0,01.

5.Автомобиль проехал первую половину пути со скоростью 70км/ч, а вторую половину пути со скоростью 35 м/с. Определить среднюю скорость автомобиля на всем пути.

multiurok.ru
9 класс. Средняя скорость и ускорение
Начинаю серию статей по подготовке к олимпиадам по физике разного уровня. Как видно из названия, эта статья предназначена для школьников 9 класса. В олимпиадах для вас можно встретить задачи по следующим темам: тепловой баланс, электричество (а именно, постоянный ток), равноускоренное движение, статика (или гидростатика), анализ графиков, оптика и средняя скорость. В этой статье представлены задачи на среднюю скорость и ускорение.
Задача 1. Автомобиль первую половину пути ехал со скоростью
км/ч, оставшуюся часть пути – со скоростью
км/ч. Найти среднюю скорость автомобиля за вторую половину времени его движения.
Сделаем рисунок.

Рисунок 1
Видно, что за вторую половину пути автомобиль прошел чуть больше половины пути. Видим также, что у нас две неизвестные: путь и время. Видимо, по ходу решения задачи нам надо будет их связать. Начнем с конца: запишем то, что нам необходимо найти.
![Rendered by QuickLaTeX.com \[\upsilon_{sr1}=\frac{S_1}{t}\]](/800/600/https/easy-physic.ru/wp-content/ql-cache/quicklatex.com-c3ce93f9052db07764f4355720dd37dc_l3.png)
Где
– это путь, пройденный за вторую половину времени. Чему равен этот путь? Очевидно, что
![Rendered by QuickLaTeX.com \[S_1=2S-\upsilon_1t\]](/800/600/https/easy-physic.ru/wp-content/ql-cache/quicklatex.com-5ce017d8ec852a2176224f9a8604516c_l3.png)
Следовательно,
![Rendered by QuickLaTeX.com \[\upsilon_{sr1}=\frac{2S-\upsilon_1t }{t}=\frac{2S}{t}-\upsilon_1\]](/800/600/https/easy-physic.ru/wp-content/ql-cache/quicklatex.com-b87ef2d6517446bdd445e6718b203a5e_l3.png)
Осталось выяснить, чему равно отношение
, то есть связать эти величины, о чем говорилось выше. Такую связь может дать нам средняя скорость на всем пути:
![Rendered by QuickLaTeX.com \[\upsilon_{sr}=\frac{2S}{t_1+t_2}\]](/800/600/https/easy-physic.ru/wp-content/ql-cache/quicklatex.com-c44c24484c1522af47935e3a58073536_l3.png)
Здесь
– время движения со скоростью
,
– время движения со скоростью
.
![Rendered by QuickLaTeX.com \[t_1=\frac{S}{\upsilon_1}\]](/800/600/https/easy-physic.ru/wp-content/ql-cache/quicklatex.com-0ded5f24e654e28286de25002457e476_l3.png)
![Rendered by QuickLaTeX.com \[t_2=\frac{S}{\upsilon_2}\]](/800/600/https/easy-physic.ru/wp-content/ql-cache/quicklatex.com-818325b408701c5304337b1e77a51333_l3.png)
Тогда
![Rendered by QuickLaTeX.com \[\upsilon_{sr}=\frac{2S}{\frac{S}{\upsilon_1}+\frac{S}{\upsilon_2}}=\frac{2\upsilon_1\upsilon_2}{\upsilon_1+\upsilon_2}\]](/800/600/https/easy-physic.ru/wp-content/ql-cache/quicklatex.com-29deabed9eed5bc7ca3d1a92b0417e55_l3.png)
Но, с другой стороны,
![Rendered by QuickLaTeX.com \[\upsilon_{sr}=\frac{2S}{2t}=\frac{S}{t}\]](/800/600/https/easy-physic.ru/wp-content/ql-cache/quicklatex.com-badca58292bee19471fcc99151c8ab26_l3.png)
Тогда
![Rendered by QuickLaTeX.com \[\upsilon_{sr1}=\frac{2S}{t}-\upsilon_1 =\frac{4\upsilon_1\upsilon_2}{\upsilon_1+\upsilon_2}-\upsilon_1 =\frac{4\cdot 40\cdot 60}{40+60}-40=56\]](/800/600/https/easy-physic.ru/wp-content/ql-cache/quicklatex.com-854394f93a6de9f38ed77e4eb9248831_l3.png)
Ответ:
км/ч.
Задача 2. Турист первую треть всего времени движения шел по грунтовой дороге со скоростью
км/ч, затем треть всего пути перемещался по шоссе со скоростью
. В конце второго участка пути он встретил грузовик, на котором и вернулся в исходную точку по той же дороге. Известно, что на грузовике он ехал с постоянной скоростью
. Вычислите среднюю путевую cкорость
туриста. Укажите минимальное возможное значение скорости
.

Рисунок 2
Для определения
нужно весь путь (
) поделить на все время движения туриста
. Так как скорость его движения по грунтовке известна, то, если он шел по ней в течение времени
, то прошел расстояние
. Потом прошел еще треть
, и обратно он проехал те же две составляющие! То есть полный путь туриста
![Rendered by QuickLaTeX.com \[S= \frac{\upsilon_1t}{3}+\frac{S}{3}+\frac{S}{3}+\frac{\upsilon_1t}{3}\]](/800/600/https/easy-physic.ru/wp-content/ql-cache/quicklatex.com-c1b8d6acc5d0d9ce3a508be483b5cb87_l3.png)
![Rendered by QuickLaTeX.com \[\frac{2}{3}\upsilon_1t=\frac{S}{3}\]](/800/600/https/easy-physic.ru/wp-content/ql-cache/quicklatex.com-4f17cf44567d452c8f0ee5623aa796cd_l3.png)
Или
![Rendered by QuickLaTeX.com \[\upsilon_0=\frac{S}{t}=2\upsilon_1=4\]](/800/600/https/easy-physic.ru/wp-content/ql-cache/quicklatex.com-4729ac54f673a13cdb7d0ed12315a807_l3.png)
Теперь подумаем, как найти минимальное возможное значение скорости
. Треть времени мы уже потратили на путь по грунтовке, значит, в нашем распоряжении две трети. Если уменьшать время движения на грузовике, то время ходьбы по шоссе будет увеличиваться. В теории (конечно, в жизни так не бывает) грузовик может перемещаться бесконечно быстро, то есть за бесконечно малое время. Тогда на путь по шоссе останется
– это и есть условие минимальной скорости. Тогда
![Rendered by QuickLaTeX.com \[\upsilon_2_{min}=\frac{\frac{S}{3}}{\frac{2t}{3}}=\frac{S}{2t}=\frac{\upsilon_0}{2}=2\]](/800/600/https/easy-physic.ru/wp-content/ql-cache/quicklatex.com-053d9e3df275f860f9314e27421460e6_l3.png)
Ответ:
км/ч,
км/ч.
Задача 3. Длина шкалы спидометра 15 см; он измеряет скорость автомобиля в пределах от нуля до 150 км/ч. Найдите скорость указателя спидометра, если автомобиль движется с ускорением 2 м/с
.

Рисунок 3
Здесь используется спидометр старого образца, вы таких и не видели никогда. Он похож на термометр. Горизонтальный столбик внутри такого спидометра двигается вправо все больше и больше с набором скорости аналогично тому, как столбик ртути растет с ростом температуры у человека.
Сначала переведем данные задачи в систему СИ:
м – длина шкалы прибора,
м/с.
Так как нам дано ускорение, то можно найти время разгона до максимальной скорости по определению ускорения:
![Rendered by QuickLaTeX.com \[t=\frac{\upsilon-0 }{a}\]](/800/600/https/easy-physic.ru/wp-content/ql-cache/quicklatex.com-1d8a967b399b2d7413ed053508a2233b_l3.png)
Тогда длина столбика равна
![Rendered by QuickLaTeX.com \[l=\upsilon_{st} t=\upsilon_{st}\cdot \frac{\upsilon }{a}\]](/800/600/https/easy-physic.ru/wp-content/ql-cache/quicklatex.com-9a32301946dba2a489e063e820b3ba32_l3.png)
Откуда
![Rendered by QuickLaTeX.com \[\upsilon_{st}=\frac{la}{\upsilon }=\frac{0,15\cdot 2}{41,7}=0,0072\]](/800/600/https/easy-physic.ru/wp-content/ql-cache/quicklatex.com-11ff30fccbbe2d09a396e8801ff7e71b_l3.png)
Ответ:
м/с или
cм/с.
easy-physic.ru
Скорость. Единицы скорости. Расчет пути и времени движения
110. Выразите в метрах в секунду (м/с) скорости: 60 км/ч; 90 км/ч; 300 км/ч; 120 м /мин.

111. Пассажирский самолет летит со скоростью 414 км/ч. Выразите эту скорость в м/с.
414 км/ч = 414000 м/ч = 115 м/с
112. Скорость мотоцикла 20 м/с, а скорость гоночного автомобиля – 360 км/ч. Чья скорость больше и во сколько раз?

113. Автомобиль прошел расстояние 500 м за 25 с. Найти скорость автомобиля.

114. Танк Кристи (рис. 12) развивает скорость при движении на колесах 100 км/ч, а при движении на гусеницах 60 км/ч. Определите, за какое время этот танк пройдет расстояние в 450 км?

115. Пуля, выпущенная из винтовки, долетела до цели, находящейся на расстоянии 1 км, за 2,5 секунды. Найти скорость пули.

116. Самолет развивает скорость 180 км/ч. Какое расстояние может пролететь этот самолет за 25 минут?

117. Два автомобиля движутся равномерно. Первый в течение 5 мин проходит 6 км, а второй в течение 3 с – 90 м. Скорость какого автомобиля больше?

118. Пароход, двигаясь против течения со скоростью 14 км/ч, проходит расстояние между двумя пристанями за 4 часа. За какое время он пройдет то же расстояние по течению, если его скорость в этом случае равна 5,6 м/с?

119. В подрывной технике для взрыва шпуров (скважин, наполненных взрывчатым веществом) применяют особый, сгорающий с небольшой скоростью шнур (бикфордов шнур). Какой длины шнур надо взять, чтобы успеть, после того как он зажжен, отбежать на расстояние 150 м, если скорость бега 5 м/с, а скорость распространения пламени по шнуру 0,8 м/с?

120. Земноводный танк может двигаться на гусеницах по суше со скоростью 70 км/ч и плавать со скоростью 10 км/ч. Сколько времени потребуется этому танку, чтобы пройти общее расстояние 61 км, если на пути буде озеро шириною в 5 км?

121. Двигаясь равномерно, пассажирский реактивный самолет ТУ-104 пролетел 8250 м за 30 с. Какова скорость самолета в м/с и км/ч?

122. Пешеход прошел 900 м за 10 мин. Вычислите его среднюю скорость движения (в м/с).

123. При испытании скорости револьверной пули при вылете оказалось, что расстояние между двумя картонными пластинками длиною в 20 см пуля пролетела за 0,0004 секунды. Определить по этим данным скорость пули.

124. Скоростной лифт в небоскребе поднимается равномерно со скоростью 3 м/с. За сколько времени можно подняться на таком лифте на высоту 90 м?

125. Длина конвейера 20 м. За какое время вещь, поставленная у начала конвейера, придет к его концу, если скорость движения конвейера 10 см/с?

126. Клеть подъемной машины в шахте опускается со скоростью 4 м/с. За какое время можно достигнуть дна глубины шахты глубиной 300 м?

127. Автомобиль проехал равномерно участок дороги длиной 3,5 км за 3 мин. Нарушил ли правила дорожного движения водитель, если на обочине расположен дорожный знак «скорость не более 50 км/ч» (рис. 13)?
128. Какой путь пролетит реактивный истребитель, двигающийся со скоростью 3600 км/ч, за 5 ч?

129. Велосипедист едет со скоростью 5 м/с. За какое время он преодолеет 99 км?

130. Скорость автомобиля 180 км/ч, а скорость самолета 600 м/с. Сколько времени затратят автомобиль и самолет для прохождения пути в 2000 м?

131. Снаряд двигается со скоростью 500 м/с, а звук выстрела распространяется со скоростью 340 м/с. На сколько секунд быстрее снаряд пройдет расстояние 6000 м, чем звук выстрела?

132. Длина земного экватора 40000 км. За какое время самолет может облететь Землю по экватору, если его скорость равна 800 км/ч?

133. В морском деле принимается за единицу скорости узел. Вычислите, скольким км/ч соответствует 1 узел, если известно, что 1 узел = 1 морская миля/ч и 1 морская миля равна длине дуги земного экватора, соответствующей одной минуте градусного измерения (длина дуги экватора равна 39805 км).

134. Росток бамбука за сутки вырастает на 86,4 см. На сколько он вырастает за 1 мин?

135. Спортсмен пробегает дистанцию в 60 м за 9,4 с. С какой скоростью он бежит?

136. В течение двух часов поезд двигался со скоростью 110 км/ч, затем сделал остановку на 10 мин. Оставшуюся часть пути он шел со скоростью 90 км/ч. Какова средняя скорость поезда на всем пути, если он прошел 400 км?

137. Автобус за первые два часа проехал 90 км, а следующие три часа двигался со скоростью 50 км/ч. Какова средняя скорость автобуса на всем пути?

138. Мотоциклист едет первую половину пути со скоростью 90 км/ч, а вторую половину пути – со скоростью 70 км/ч. Найдите среднюю скорость мотоцикла на всем пути.

139. Средняя скорость велосипедиста на всем пути равна 40 км/ч. Первую половину пути он ехал со скоростью 60 км/ч. С какой скоростью велосипедист проехал остаток пути?

140. Изобразите графически векторы скорости: 5 км/ч; 15 км/ч; 10 м/с.

141. Приняв, что сторона одной клеточки в тетради равна скорости 1 м/с, изобразите в тетради скорость 5 м/с.

142. На графике скорость 3,6 км/ч изображена стрелкой длиной 2 см. Изобразите в том же масштабе скорость 2 м/с.

143. По графику зависимости пути от времени на рисунке 14 определите скорость при равномерном движении (в м/с).

144. На рисунке 15 изображен график движения лыжника. Сколько метров он проедет за 12 мин, если его скорость останется неизменной?

145. Гоночный автомобиль мчится со скоростью 360 км/ч. Начертите в тетради график зависимости его пути от времени.

146. Аэроплан летит со скоростью 720 км/ч в течение 25 мин. Начертите график его движения, приняв для оси времени масштаб: 5 мин – 1 см; а для оси пути масштаб выберите самостоятельно.

147. Расстояние между двумя пристанями 144 км. Сколько времени потребуется пароходу для совершения рейса между пристанями туда и обратно, если скорость парохода в стоячей воде 18 км/ч, а скорость течения 3 м/с?

148. Самолет, летящий со скоростью 300 км/ч, пролетел расстояние между аэродромами А и В за 2,2 ч. Обратный полет из-за встречного ветра он совершил за 2,4 ч. Определите скорость ветра.

149. С двух пристаней, расстояние между которыми 70 км, одновременно отправляются два парохода навстречу друг другу. Пароходы встретились через 2,5 ч, причем пароход, идущий по течению, прошел за это время путь 55,5 км. Скорость течения 2 м/с. Определите скорости пароходов в стоячей воде.

150. Определите по графику пути равномерного движения, изображенному на рисунке 16:
а) путь, пройденный телом в течение 4,5 с,
б) время, в течение которого пройден путь 15 м,
в) скорость движения,
если сторона клетки соответствует 1 м и 1 с.
а) 18 м; б) 3,75 с; в) 4 м/с
151. Постройте на одном и том же чертеже графики путей двух равномерных движений со скоростью 7,2 км/ч и 18 км/ч.

152. Постройте график пути движения, уравнение которого s = 5t.

153. На рисунке 17 дан график пути движения поезда. Определите, в котором часу отправился поезд и направление его движения.
В 7 часу, в направлении Москва → Серпухов
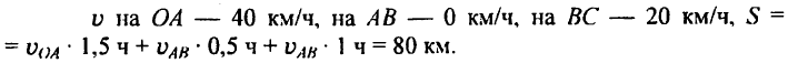
154. На рисунке 18 дан график пути движения поезда. Определите скорости движения на участках, изображенных отрезками графика ОА, АВ и ВС. Какой путь пройден поездом в течение 3 часов с начала его движения?
155. Постройте график пути движения поезда между станциями А и В по следующим данным. Расстояние от А до В равно 60 км. Двигаясь от А к В со скоростью 40 км/ч, поезд на полпути делает пятиминутную остановку, потом продолжает двигаться дальше со скоростью 60 км/ч. На станции В поезд стоит 20 мин, затем движется обратно без остановок со скоростью 45 км/ч.

156. От одной и той же станции в одном и том же направлении отправляются два поезда. Скорость первого 30 км/ч, второго 40 км/ч. Второй поезд отправляется через 10 мин после первого. После сорокаминутного движения первый поезд делает пятиминутную остановку, потом продолжает двигаться дальше с прежней скоростью. Определите графически, когда и на каком расстоянии от станции второй поезд догонит первый. Графическое решение проверьте вычислением.

157. Чем отличаются движения I и II, графики которых даны на рисунках 19 и 20? Что обозначает точка пересечения графиков и что по ней можно узнать?

158. По графику движения корабля, подходящего к причалу (рис. 21), определите скорость его движения на участке АВ.

159. По представленному на рисунке 21 графику движения корабля, подходящего к причалу, дайте характеристику движения корабля на участках АВ, ВС и CD.
АВ – равномерное
ВС – равнозамедленное
CD – движение отсутствует
160. По графику на рисунке 21 определите среднюю скорость движения корабля за промежуток времени между 104-й и 106-й минутами движения.

161. На рисунке 22 даны графики движения мопеда (а) и велосипеда (b). Определите скорости их движения. Кто из них поехал раньше?

162. Какую скорость имеют в виду, говоря о скорости движения поезда, автомобиля или самолета между двумя какими-нибудь пунктами?

163. Пуля вылетела из ствола со скоростью 600 м/с.Какую скорость здесь имеют в виду?

164. Поезд прошел 25 км за 35 мин, причем первые 10 км он прошел в течение 18 мин, вторые 10 км в течение 12 мин, а последние 5 км за 5 мин. Определите среднюю скорость поезда на каждом участке и на всем пути.

165. Санки, двигаясь вниз по горе, прошли в течение первой секунды движения 2 м, второй секунды – 6 м, третьей секунды – 10 м и четвертой секунды – 14 м. Найдите среднюю скорость за первые две секунды, за последние две секунды и за все время.

166. Почему нельзя говорить о средней скорости переменного движения вообще, а можно говорить только о средней скорости за данный промежуток времени или о средней скорости на данном участке пути?
Потому что тело всегда проходит определенный путь за определенное время.
167. Постройте на одном чертеже графики скоростей двух равномерных движений: v1 = 3 м/с и v2 = 5 м/с. Построить на том же чертеже прямоугольники, площади которых численно равны путям, пройденным в течение 6 с.

168. Даны графики зависимости пройденного пути от времени при равномерном движении, представленные в одном масштабе. Как по ним определить, какое тело движется с большей скоростью?
Чем больше угол между графиком и осью времени, тем выше скорость.
Чем меньше угол между графиком и осью расстояния, тем выше скорость.
kupuk.net
Конспект урока по теме: Задачи на среднюю скорость
Тема урока: Задачи на среднюю скорость.
Цели и задачи: развить навыки решения задач на скорость; развить логическое мышление, внимание, память; воспитывать самостоятельность учащихся.
Ход урока:
Организационный момент.
Проверка знаниЙ.
А) д\з
Б) карточки
Объяснение нового материала.

Закрепление материала.
Задача №1 (Объяснение учителя)


Задача №2 Самостоятельная работа)
Первую половину пути автомобиль проехал со средней скоростью v1 = 60 км/ч, а вторую — со средней скоростью v2 = 40 км/ч. Определить среднюю скорость V автомобиля на всем пути.
Решение: проанализируем условие задачи: первую половину пути автомобиль проехал со скоростью 60 км/ч и затратил время, равное
Вторую половину пути автомобиль проехал со скоростью 40 км/ч и затратил время, равное По определению, средняя скорость V при равномерном прямолинейном движении равна отношению всего пройденного пути ко всему затраченному времени.
Подставляя значения скорости в формулу средней скорости, получим: Средняя скорость равна 48 км/ч.
Задача №4
Катер прошёл от одной пристани до другой 240 км и вернулся обратно. Найдите среднюю скорость катера на всем пути если его собственная скорость 18 км\ч, а скорость течения 2 км\ч.
Читаем в условии «Катер прошёл от одной пристани до другой 240 км и вернулся обратно». Значит, он прошёл два раза одно и то же расстояние, один раз — до пристани, второй раз — обратно. Следовательно, S = 240*2 = 480 км.
2) А вот с общим временем будет сложнее — оно в условии не задано. Придётся находить его из значений скорости! «Собственная скорость катера 18 км\ч, а скорость течения 2 км\ч».
a) Раз катер плавал туда-обратно, значит один раз он шёл по течению, а второй раз — против течения.
По течению — скорости течения и объекта складываются, т.к. они движутся в одну сторону!
Против течения — от скорости объекта отнимается скорость течения, т.к. течение мешает, отбирает скорость у объекта.
В итоге: скорость по течению = 18 + 2 = 20 км/ч,
скорость против течения = 18 — 2 = 16 км/ч.б) Из формулы скорости (см. чуть выше о том, как её запомнить) находим время. Время = расстояние / скорость.
Время поездки по течению = 240 / 20 = 12 ч
Время поездки против течения = 240 / 16 = 15 ч.
———————————————————
Общее время = время поездки по течению + время поездки против течения = 12 + 15 = 27 ч3) Средняя скорость — весь пройденный путь делённый на всё затраченное время.
480 / 27 = 17,(7) км/чОтвет: 17,(7) км/ч
4) Проверка самостоятельной работы, разбор вопросов.
5) Рефлексия.
6) Итог урока (выставление и комментирование оценок)
7) Домашнее задание
Задача №3 Первую половину пути автомобиль проехал со скоростью 60 км/ч, а вторую со скоростью 40 км/ч. Найти среднюю скорость движения автомобиля.
(задачи на слайде).
infourok.ru
| № нужного урока 1, 2, 3, 4, 5, 6, 7, 8, 9, 10, 11, 12, 13, 14, 15, 16, 17, 18, 19, 20, 21, 22, 23, 24, 25, 26, 27, 28, 29, 30, 31, 32, 33, 34, 35, 36, 37, 38, 39, 40, 41, 42, 43, 44, 45, 46, 47, 48, 49, 50, 51, 52, 53, 54, 55, 56, 57, 58, 59, 60, 61, 62, | Домашнее задание Повторить 13-16, №134, 137 Подготовиться к проверочной работе по теме «Расчет пути и времени движения». Длительность работы 30 минут. |
eak-fizika.narod.ru
Решение задач по теме «Равномерное и неравномерное движение. Средняя скорость»
План-конспект урока по теме «Решение задач по теме «Равномерное и неравномерное движение. Средняя скорость»
Дата:
Тема: «Решение задач по теме «Равномерное и неравномерное движение. Средняя скорость»
Цели:
Образовательная: формирование практических умений по решению задач на тему «Равномерное и неравномерное движение. Средняя скорость»»;
Развивающая: совершенствовать интеллектуальные умения (наблюдать, сравнивать, размышлять, применять знания, делать выводы), развивать познавательный интерес;
Воспитательная: прививать культуру умственного труда, аккуратность, учить видеть практическую пользу знаний, продолжить формирование коммуникативных умений, воспитывать внимательность, наблюдательность.
Тип урока: обобщение и систематизация знаний
Оборудование и источники информации:
Исаченкова, Л. А. Физика : учеб. для 7 кл. учреждений общ. сред. образования с рус. яз. обучения / Л. А. Исаченкова, Г. В. Пальчик, А. А. Сокольский ; под ред. А. А. Сокольского. Минск : Народная асвета, 2017.
Структура урока:
Организационный момент (5 мин)
Актуализация опорных знаний (5 мин)
Закрепление знаний(30 мин)
Итоги урока (5 мин)
Содержание урока
Организационный момент
Здравствуйте, присаживайтесь! (Проверка присутствующих).Сообщение темы урока.
Актуализация опорных знаний


Закрепление знаний
А сейчас перейдем к решению задач на карточках по теме «Решение задач по теме «Равномерное и неравномерное движение. Средняя скорость» (приложение 1):

Ответ:



Ответ:


Ответ:


Ответ:


Ответ:


Ответ:

Итоги урока
Итак, подведем итоги. Что вы сегодня узнали на уроке?
Организация домашнего задания
§16-18.
Рефлексия.
Продолжите фразы:
Сегодня на уроке я узнал…
Было интересно…
Знания, которые я получил на уроке, пригодятся
Приложение 1
Карточка по теме «Решение задач по теме «Равномерное и неравномерное движение. Средняя скорость»







infourok.ru
