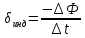
Самоиндукция — Википедия
Самоиндукция — это явление возникновения ЭДС индукции в проводящем контуре [1] при изменении протекающего через контур тока.
При изменении тока в контуре пропорционально меняется[2] и магнитный поток через поверхность, ограниченную этим контуром[3]. Изменение этого магнитного потока, в силу закона электромагнитной индукции, приводит к возбуждению в этом контуре индуктивной ЭДС.
Это явление и называется самоиндукцией. (Понятие родственно понятию взаимоиндукции, являясь как бы его частным случаем).
Направление ЭДС самоиндукции всегда оказывается таким, что при возрастании тока в цепи ЭДС самоиндукции препятствует этому возрастанию (направлена против тока), а при убывании тока — убыванию (сонаправлена с током). Явление самоиндукции проявляется в замедлении процессов исчезновения и установления тока[4].
При сопоставлении силы электрического тока со скоростью в механике и электрической индуктивности с массой в механике ЭДС самоиндукции сходна с силой инерции.
Величина ЭДС самоиндукции пропорциональна скорости изменения силы тока(переменного) i{\displaystyle i}:
- E=−Ldidt{\displaystyle {\mathcal {E}}=-L{\frac {di}{dt}}}.
Коэффициент пропорциональности L{\displaystyle L} называется коэффициентом самоиндукции или индуктивностью контура (катушки).
В случае синусоидальной зависимости тока, текущего через катушку, от времени, ЭДС самоиндукции в катушке отстает от тока по фазе на π/2{\displaystyle \pi /2} (то есть на 90°), а амплитуда этой ЭДС пропорциональна амплитуде тока, частоте и индуктивности (E0=LωI0{\displaystyle {\mathcal {E}}_{0}=L\omega I_{0}}). Ведь скорость изменения функции — это её первая производная, а dsinωtdt=ωcosωt=ωsin(ωt+π/2){\displaystyle {\frac {d\sin \omega t}{dt}}=\omega \cos \omega t=\omega \sin(\omega t+\pi /2)}.
Для расчета более или менее сложных схем, содержащих индуктивные элементы, то есть витки, катушки и т.п. устройства, в которых наблюдается самоиндукция, (особенно, полностью линейных, то есть не содержащих нелинейных элементов [5]) в случае синусоидальных токов и напряжений применяют метод комплексных импедансов или, в более простых случаях, менее мощный, но более наглядный его вариант — метод векторных диаграмм.
Заметим, что всё описанное применимо не только непосредственно к синусоидальным токам и напряжениям, но и практически к произвольным, поскольку последние могут быть практически всегда разложены в ряд или интеграл Фурье и таким образом сведены к синусоидальным.
В более или менее непосредственной связи с этим можно упомянуть о применении явления самоиндукции (и, соответственно, катушек индуктивности) в разнообразных колебательных контурах, фильтрах, линиях задержки и других разнообразных схемах электроники и электротехники.
За счёт явления самоиндукции в электрической цепи с источником ЭДС при замыкании цепи ток устанавливается не мгновенно, а через какое-то время. Аналогичные процессы происходят и при размыкании цепи, при этом (при резком размыкании) величина ЭДС самоиндукции может в этот момент значительно превышать ЭДС источника.
Чаще всего в обычной жизни это используется в катушках зажигания автомобилей. Типичное напряжение зажигания при напряжении питающей батареи 12В составляет 7-25 кВ. Впрочем, превышение ЭДС в выходной цепи над ЭДС батареи здесь обусловлено не только резким прерыванием тока, но и коэффициентом трансформации, поскольку чаще всего используется не простая катушка индуктивности, а катушка-трансформатор, вторичная обмотка которой как правило имеет во много раз большее количество витков (то есть, в большинстве случаев схема несколько более сложна, чем та, работа которой полностью объяснялось бы через самоиндукцию; однако физика её работы и в таком варианте отчасти совпадает с физикой работы схемы с простой катушкой).
Это явление применяется и для поджига люминесцентных ламп в стандартной традиционной схеме (здесь речь идет именно о схеме с простой катушкой индуктивности — дросселем).
Кроме того, его надо учитывать всегда при размыкании контактов, если ток течет по нагрузке с заметной индуктивностью: возникающий скачок ЭДС может приводить к пробою межконтактного промежутка и/или другим нежелательным эффектам, для подавления которых в этом случае, как правило, необходимо принимать разнообразные специальные меры.
- ↑ Контур может быть и многовитковым — то есть, в частности, катушкой. В этом случае, так же как и в случае одиночного контура, строго говоря, контур должен быть замкнутым (например, через вольтметр, измеряющий ЭДС), но на практике при (очень) большом количестве витков различие ЭДС в полностью замкнутом контуре и в контуре с разрывом (геометрически даже большим по сравнению с размером катушки) может быть пренебрежимым.
- ↑ Поскольку магнитный поток через контур пропорционален току в контуре. Для тонкого жесткого контура (для какового случая это утверждение и является точным) точная пропорциональность очевидна исходя из закона Био-Савара, так как исходя из него вектор магнитной индукции просто пропорционален току, а поток этого вектора (что и называется магнитным потоком) через фиксированную (она не меняется при жестком контуре) поверхность тогда тоже пропорционален току. Формально это записывается в виде равенства: магнитный поток = коэффициент самоиндукции• ток в контуре.
- ↑ В случае сложной формы контура, например, если контур многовитковый (катушка), поверхность, ограниченная контуром (или, как говорят, «натянутая на контур») оказывается достаточно сложной, что ничуть не меняет сути описываемого явления. Для упрощения понимания случая многовитковых контуров (катушек) можно (приближенно) считать поверхность, натянутую на такой контур, состоящей из множества (стопки) поверхностей, каждая из которых натянута на свой отдельный единичный виток.
- ↑ Калашников С. Г., Электричество, М., ГИТТЛ, 1956, гл. IX «Электромагнитная индукция», п. 107 «Исчезновение и установление тока», с. 221 — 224;
- ↑ Сами индуктивные элементы являются линейными, то есть подчиняются линейному дифференциальному уравнению, приведенному в статье выше. Впрочем, это уравнение в реальности выполняется лишь приближенно, так что индуктивные элементы являются линейными также лишь приближенно (хотя иногда и с крайне хорошей точностью). Также в реальности встречаются отклонения от идеального уравнения, носящие линейный характер (например, связанные с упругими деформациями катушки в линейном приближении).
Взаимоиндукция — Википедия
Материал из Википедии — свободной энциклопедии
Текущая версия страницы пока не проверялась опытными участниками и может значительно отличаться от версии, проверенной 28 июня 2017; проверки требуют 5 правок. Текущая версия страницы пока не проверялась опытными участниками и может значительно отличаться от версии, проверенной 28 июня 2017; проверки требуют 5 правок.Взаимоиндукция (взаимная индукция) — явление возникновения ЭДС индукции в одном контуре при изменении силы тока во втором контуре и наоборот. Взаимоиндукция — частный случай электромагнитной индукции[1].
При изменении силы тока в первом контуре, во втором возникает ЭДС:
- E2=−dΨ1dt=−LdI1dt{\displaystyle {\mathcal {E_{2}}}=-{{d\Psi _{1}} \over dt}=-L{dI_{1} \over dt}}
где
- E2{\displaystyle {\mathcal {E_{2}}}} — электродвижущая сила во втором контуре,
- Ψ1{\displaystyle \Psi _{1}} — потокосцепление первого контура,
- I1{\displaystyle I_{1}} — сила тока в первом контуре,
- L{\displaystyle L} — взаимная индуктивность контуров[1].
При изменении силы тока во втором контуре, в первом возникает ЭДС:
- E1=−dΨ2dt=−LdI2dt{\displaystyle {\mathcal {E_{1}}}=-{{d\Psi _{2}} \over dt}=-L{dI_{2} \over dt}}
где
- E1{\displaystyle {\mathcal {E_{1}}}} — электродвижущая сила в первом контуре,
- Ψ2{\displaystyle \Psi _{2}} — потокосцепление второго контура,
- I2{\displaystyle I_{2}} — сила тока во втором контуре,
- L{\displaystyle L} — взаимная индуктивность контуров[1].
Явление взаимоиндукции применяется для повышения и понижения напряжения переменного тока в трансформаторах[1].
- Никеров. В. А. Физика: учебник и практикум для академического бакалавриата. — Юрайт, 2015. — 415 с. — ISBN 978-5-9916-4820-2.
- Малая Советская Энциклопедия т.2, Государственное научное издательство «Большая советская энциклопедия», 1958 г.
- Хайкин С. Э. «Словарь радиолюбителя», Госэнергоиздат, Москва 1960 г.
- Евдокимов Ф. Е. «Теоретические основы электротехники», «Высшая школа» 1981 г.
- Калантаров П.Л., Цейтлин Л.А. «Расчет индуктивностей» (справочная книга), Ленинград, ЭНЕРГОАТОМИЗДАТ Ленинградское отделение 1986 г.
- Взаимная индукция // Большая советская энциклопедия : в 66 т. (65 т. и 1 доп.) / гл. ред. О. Ю. Шмидт. — М. : Советская энциклопедия, 1926—1947.
- ↑ 1 2 3 4 Никеров. В. А. Физика: учебник и практикум для академического бакалавриата.. — Юрайт, 2015. — С. 236, 237. — 415 с. — ISBN 978-5-9916-4820-2.
Явление самоиндукции. Индуктивность
Вы уже знаете, что основы электродинамики были заложены Андре Мари Ампером в 1820 году. Его работы вдохновили многих инженеров на конструирование различных устройств, с многими из которых вы знакомились в восьмом классе. Среди них электродвигатель, изобретённый Борисом Семёновичем Якоби, телеграф Самюэля Морзе, а также электромагнит, усовершенствованием которого занимался Джозеф Генри.

Удивительно, но уже тогда он смог разработать магниты, способные поднимать массу до полутора тонн при собственной массе магнита около 10 кг. Так вот, создавая различные электромагниты, в 1832 году Генри обнаружил новое явление в электромагнетизме — явление самоиндукции, которое, как оказалось, являлось частным случаем проявления электромагнитной индукции.
Познакомимся с этим явлением поближе. Для этого соберём электрическую цепь, состоящую из источника тока, ключа, двух одинаковых лампочек, катушки с сердечником и резистора, с электрическим сопротивлением, равным сопротивлению обмотки катушки.

Если мы замкнём цепь, то заметим, что лампочка, соединённая последовательно с реостатом, загорается практически моментально. А вот лампочка, соединённая последовательно с электромагнитом, с заметным опозданием (в реальном времени около одной секунды). Следовательно, при замыкании цепи электрический ток в катушке постепенно нарастает от нуля до некоторой постоянной величины.
— Почему же так происходит?
Давайте разбираться. Итак, при замыкании цепи в катушке возникает магнитное поле. При увеличении силы тока начинает увеличиваться индукция магнитного поля катушки, и магнитный поток, пронизывающий её витки.

Получается, что проходящий через катушку переменный магнитный поток создаётся не внешними причинами, а в связи с изменением тока в самом устройстве. Мы уже знаем, при изменении магнитного потока в витках катушки возникает индукционный ток. При этом, согласно правилу Ленца, возникающий индукционный ток будет препятствовать увеличению силы тока в цепи катушки. Когда же ток в катушке достигает постоянной величины, изменение магнитного потока прекращается и индукционный ток исчезает.
Явление возникновения индукционного тока в катушке при изменении силы тока в ней называется самоиндукцией. При этом возникающий индукционный ток называется током самоиндукции.
Таким образом, чем больше будет сила тока самоиндукции, тем большее противодействие он оказывает изменению силы тока, созданного источником. Поэтому ток в ветви с катушкой возрастает медленнее, чем в ветви с реостатом.
В 1853 году Уильямом Томсоном для оценивания способности катушки противодействовать изменению силы тока в ней, была введена специальная физическая величина, называемая коэффициентом самоиндукции (или просто индуктивностью). Обозначается она большой латинской буквой L, а единицей индуктивности в СИ является генри (Гн).
В старших классах будет показано, что индуктивность катушки зависит от:
· её размеров и формы;
· количества витков;
· наличия или отсутствия сердечника.
Теперь посмотрим, что происходит при размыкании цепи. Для этого соберём цепь, состоящую из источника постоянного тока, ключа, катушки и лампочки. Параллельно катушке подключим ещё одну лампочку, обладающую большим сопротивлением (например, неоновую).

При замыкании цепи лампа, соединённая последовательно с катушкой, загорается, а неоновая нет, так как напряжение, необходимое для её зажигания, намного больше чем то, которое подаётся от нашего источника тока.

А теперь разомкнём цепь.

Видим, что лампа накаливания гаснет, зато неоновая даёт кратковременную яркую вспышку. Это говорит о том, что уменьшение тока в цепи создаёт такой сильный ток самоиндукции, противодействующий уменьшению тока в катушке, что напряжение на ней оказывается достаточным для зажигания лампы.
Объясняется наблюдаемое явление всё тем же правилом Ленца: при размыкании цепи вместе с током исчезает и его магнитное поле, что вызывает в катушке появление тока самоиндукции, направление которого совпадает с направлением тока, создаваемого источником, и усиливает его.

Чтобы в этом убедиться, проведём такой опыт. В цепь постоянного тока параллельно катушке подключим гальванометр. При замыкании цепи через гальванометр пойдёт ток и стрелка гальванометра отклонится (в нашем случае вправо). Разомкнём цепь и поставим около стрелки «задержку».

Теперь, когда мы вновь замкнём цепь, эта задержка не даст стрелке гальванометра отклониться вправо. Разомкнув цепь, мы заметим, как стрелка гальванометра отклониться влево, обнаруживая текущий по цепи ток, который не сразу исчезает в катушке, а постепенно. Этот опыт показывает, что действительно, ток самоиндукции в катушке имеет тоже направление, что и ток, текущий в ней до отключения источника.
Появление сильного тока самоиндукции при размыкании цепи говорит о том, что магнитное поле катушки с током обладает определённым запасом энергии. Но откуда она берётся?
Чтобы ответить на этот вопрос давайте проведём небольшой опыт. Итак, у нас есть электрическая цепь, в которой с лампочкой последовательно подключена катушка большой индуктивности. Через ключ мы можем замыкать эту цепь либо на источник тока, либо на резистор. С помощью амперметра будем следить за током в цепи. Для начала замкнём нашу цепь на источник тока: амперметр фиксирует появление в цепи тока постоянной силы.

Теперь быстро переключим ключ, замыкая катушку на резистор: амперметр фиксирует ток, который со временем убывает. В течение этого времени всё ещё происходит перенос заряда в цепи катушки и резистора, то есть совершается работа —убывание тока вызывает явление самоиндукции.

Эта работа и равна энергии магнитного поля катушки с током, так как именно энергия характеризует способность тел совершать работу. Энергию магнитного поля можно рассчитать по формуле:

— А что, ток самоиндукции возникает лишь в катушках?
Конечно же нет. Его возникновение возможно в любых проводниках. Однако, в катушках с малым числом витков (а тем более в прямых проводниках), то есть в элементах цепи, обладающих малой индуктивностью, ток самоиндукции совсем небольшой, и поэтому не оказывает какого-либо значимого влияния на процессы в цепи.
А теперь давайте с вами решим одну несложную задачу.

В заключении отметим, что явление самоиндукции имеет место в любых случаях изменения силы тока в цепи, содержащей индуктивность, или изменения самой индуктивности. Вообще, данное явление подобно явлению инерции в механике. Вы знаете, что, например, автомобиль не может мгновенно набрать скорость, как не может и мгновенно остановиться, как бы велика не была тормозящая сила. Точно так же, за счёт самоиндукции при замыкании цепи, сила тока не сразу достигает своего максимального значения, а нарастает постепенно. Выключая источник, мы не прекращаем ток сразу — самоиндукция будет поддерживать его некоторое время, даже не смотря на большое сопротивление цепи.
Явление самоиндукции | |
Явление самоиндукции — частный случай электромагнитной индукции и, следовательно, для него справедливы все закономерности явления электромагнитной индукции. При этом
|
|
В момент замыкания ключа ЭДС самоиндукции |
|
Опыт иллюстрирует, что для изменения тока требуется время, т.е. явление самоиндукции аналогично явлению инерции в механике. При размыкании этой цепи лампочки гаснут одновременно, т.к. две верхних ветви соединены последовательно (токи одинаковы в любой момент времени). |
|
Цепь разомкнули. В момент размыкания через гальванометр течет ток против начального тока: |
|
Учёт ЭДС самоиндукции в технике. Масляные выключатели; при размыкании цепи с большой индуктивностью параллельно включают конденсатор с большой электроемкостью и высоким напряжением. При замыкании и размыкании цепи возникают экстратокизамыкания (размыкания) тем большие по величине, чем быстрее происходит процесс. |
|
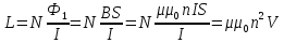
Индуктивность Если через катушку пропускать ток, то Ф ~ I. Следовательно, Ф=LI, где L — индуктивность катушки (коэффициент самоиндукции), характеризующая ее магнитные свойства. |
|
Индуктивность показывает, какой магнитный поток пронизывает данный проводник при прохождении по нему тока силой 1 А (в СИ). |
|
Согласно закону электромагнитной индукции Но ΔФ=LΔI, следовательно: |
|
Индуктивность численно равна эдс самоиндукции, возникающей в проводнике при изменении силы тока на единицу силы тока (1 А) за единицу времени (1с). В СИ единица индуктивности – Генри. |
|
Индуктивность – характеристика проводника, зависящая только от: Формы Размеров Магнитной проницаемости среды. |
|
Например, индуктивность катушки зависит от числа витков, диаметра катушки, ее длины и материала сердечника. |
|
Энергия магнитного поля. | |
По аналогии с кинетической энергией: |
|
При замыкании цепи энергия равна работе по созданию тока (вихревого электрического поля). При размыкании энергия магнитного поля превращается в тепловую (искра., дуга). |
|
Объясните пожалуйста простыми словами. Что такое индукция? Что такое электро-магнитная индукция? Что такое самоиндукция?
Существует электромагнитное поле — это единая и неделимая составляющая. Подробнее: 1. Вокруг каждого проводника с током возникает магнитное поле. Если ток постоянный, то и магнитное поле постоянное и никак себя не проявляет. 2. Если есть разность потенциалов (напряжение) , то между разными потенциалами возникает электрическое поле. Если напряжение постоянное, то и это поле постоянное и никак себя не проявляет. Вернемся к 1. Если ток переменный, то вокруг проводника магнитное поле тоже будет переменным. Если в переменное поле поместить проводник, то на его концах под воздействием возникнет разность потенциалов (переменная) . Это и есть индукция. Вернемся к 2. Поскольку разность потенциалов переменная, то возникает переменное электрическое поле. Но если рассматривать такой проводник как большой конденсатор, то под воздействием переменного электрического поля на обкладках конденсатора возникнет движение электрических зарядов (т. е. электрический ток) . А вокруг проводника с током опять возникнет переменное магнитное поле. 3. Так они и будут преобразовываться одно в другое (в противофазе — максимум электрического поля — минимум магнитного и наоборот) . Это будет единое электромагнитное поле и явление это называется электромагнитной индукцией.
прелдставь ветер. . он может создать разность давления в квартире с окнами по обоим сторонам дома так вот — выходит что ветер синдуцировал появление ветра в квартире))
Электромагнитная индукция это явление возникновения электрического тока в замкнутом контуре, находящимся в переменном магнитном поле. А самоиндукция явления возникновения ЭДС при изменении тока в цепи, причём эта ЭДС препятствует изменению. Википедия это единственный источник информации? Открой школьный учебник физики, там написано так, что и дурак поймёт.
самое простое объяснение в учебнике средней школы, дальнейшее упрощение непродуктивно.
Индукция — в общем случае можно перевести как наведение. В зависимости от области применения это слово может иметь разные значения. Электромагнитная индукция, это возникновение тока в проводнике под воздействием изменяющегося магнитного поля. Грубо говоря, если в проводящий контур засунуть магнит, в этом контуре появится ток и сила тока (ЭДС индукции) будет прямо пропорциональна скорости изменения потока магнитной индукции, т. е. грубо говоря чем бысрее вы будете засовывать магнит в контур (или высовывать его из контура) , тем больший ток пойдёт по контуру. Самоиндукция — это индукция, возникающая под действием изменяющегося магнитного поля, образованного изменяющимся электрическим полем самого проводника с током. Допустим, у вас есть катушка. Вы подаёте на эту катушку переменное напряжение, в ней возникает переменный ток, этот ток порождает переменное магнитное поле, которое вновь индуцируется на тот же проводник с током, создавая ЭДС самоиндукции, препятствующую изменению тока в этом проводнике.
способ передачи энергии
Электромагнитная индукция — Википедия
Электромагни́тная инду́кция — явление возникновения электрического тока, электрического поля или электрической поляризации при изменении во времени магнитного поля или при движении материальной среды в магнитном поле[1]. Электромагнитная индукция была открыта Майклом Фарадеем 29 августа 1831 года[2]. Он обнаружил, что электродвижущая сила (ЭДС), возникающая в замкнутом проводящем контуре, пропорциональна скорости изменения магнитного потока через поверхность, ограниченную этим контуром. Величина электродвижущей силы не зависит от того, что является причиной изменения потока — изменение самого магнитного поля или движение контура (или его части) в магнитном поле. Электрический ток, вызванный этой ЭДС, называется индукционным током.
Согласно закону электромагнитной индукции Фарадея (в СИ):
- E=−dΦBdt,{\displaystyle {\mathcal {E}}=-{{d\Phi _{B}} \over dt},}
где
- E{\displaystyle {\mathcal {E}}} — электродвижущая сила, действующая вдоль произвольно выбранного контура,
- ΦB{\displaystyle \Phi _{B}} =∬SB→⋅dS→{\displaystyle =\iint \limits _{S}{\vec {B}}\cdot d{\vec {S}}} — магнитный поток через поверхность, ограниченную этим контуром.
Знак «минус» в формуле отражает правило Ленца, названное так по имени российского физика Э. Х. Ленца:
- Индукционный ток, возникающий в замкнутом проводящем контуре, имеет такое направление, что создаваемое им магнитное поле противодействует тому изменению магнитного потока, которым был вызван данный ток.
Для катушки, находящейся в переменном магнитном поле, закон Фарадея можно записать следующим образом:
- E=−NdΦBdt=−dΨdt,{\displaystyle {\mathcal {E}}=-N{{d\Phi _{B}} \over dt}=-{{d\Psi } \over dt},}
где
- E{\displaystyle {\mathcal {E}}} — электродвижущая сила,
- N{\displaystyle N} — число витков,
- ΦB{\displaystyle \Phi _{B}} — магнитный поток через один виток,
- Ψ{\displaystyle \Psi } — потокосцепление катушки.
Векторная форма[править | править код]
В дифференциальной форме закон Фарадея можно записать в следующем виде:
- rotE→=−∂B→∂t{\displaystyle \operatorname {rot} \,{\vec {E}}=-{\partial {\vec {B}} \over \partial t}} (в системе СИ)
или
- rotE→=−1c∂B→∂t{\displaystyle \operatorname {rot} \,{\vec {E}}=-{1 \over c}{\partial {\vec {B}} \over \partial t}} (в системе СГС).
В интегральной форме (эквивалентной):
- ∮∂SE→⋅dl→=−∂∂t∫SB→⋅ds→{\displaystyle \oint _{\partial S}{\vec {E}}\cdot {\vec {dl}}=-{\partial \over \partial t}\int _{S}{\vec {B}}\cdot {\vec {ds}}}(СИ)
или
- ∮∂SE→⋅dl→=−1c∂∂t∫SB→⋅ds→{\displaystyle \oint _{\partial S}{\vec {E}}\cdot {\vec {dl}}=-{1 \over c}{\partial \over \partial t}\int _{S}{\vec {B}}\cdot {\vec {ds}}} (СГС).
Здесь E→{\displaystyle {\vec {E}}} — напряжённость электрического поля, B→{\displaystyle {\vec {B}}} — магнитная индукция, S {\displaystyle S\ } — произвольная поверхность, ∂S{\displaystyle \partial S} — её граница. Контур интегрирования ∂S{\displaystyle \partial S} подразумевается фиксированным (неподвижным).
Следует отметить, что закон Фарадея в такой форме, очевидно, описывает лишь ту часть ЭДС, что возникает при изменении магнитного потока через контур за счёт изменения со временем самого поля без изменения (движения) границ контура (об учете последнего см. ниже).
- В этом виде закон Фарадея входит в систему уравнений Максвелла для электромагнитного поля (в дифференциальной или интегральной форме соответственно)[3].
Если же, скажем, магнитное поле постоянно, а магнитный поток изменяется вследствие движения границ контура (например, при увеличении его площади), то возникающая ЭДС порождается силами, удерживающими заряды на контуре (в проводнике) и силой Лоренца, порождаемой прямым действием магнитного поля на движущиеся (с контуром) заряды. При этом равенство E=−dΦ/dt{\displaystyle {\mathcal {E}}=-{{d\Phi }/dt}} продолжает соблюдаться, но ЭДС в левой части теперь не сводится к ∮E→⋅dl→{\displaystyle \oint {\vec {E}}\cdot {\vec {dl}}} (которое в данном частном примере вообще равно нулю). В общем случае (когда и магнитное поле меняется со временем, и контур движется или меняет форму) последняя формула остаётся справедливой, но ЭДС в левой части в таком случае есть сумма обоих слагаемых, упомянутых выше (то есть порождается частично вихревым электрическим полем, а частично силой Лоренца и силой реакции движущегося проводника).
- Некоторые авторы, например, М. Лившиц в журнале «Квант» за 1998 год[4] отрицают корректность применения термина закон Фарадея или закон электромагнитной индукции и т. п. к формуле E=−dΦ/dt{\displaystyle {\mathcal {E}}=-{{d\Phi }/dt}} в случае подвижного контура (оставляя для обозначения этого случая или его объединения со случаем изменения магнитного поля, например, термин правило потока)[5]. В таком понимании закон Фарадея — это закон, касающийся лишь циркуляции электрического поля (но не ЭДС, создаваемой с участием силы Лоренца), и в этом понимании понятие закон Фарадея в точности совпадает с содержанием соответствующего уравнения Максвелла.
- Однако возможность (пусть с некоторыми оговорками, уточняющими область применимости) совпадающей формулировки «правила потока» с законом электромагнитной индукции нельзя назвать чисто случайной. Дело в том, что, по крайней мере для определённых ситуаций, это совпадение оказывается очевидным проявлением принципа относительности. А именно, например, для случая относительного движения катушки с присоединённым к ней вольтметром, измеряющим ЭДС, и источника магнитного поля (постоянного магнита или другой катушки с током), в системе отсчёта, связанной с первой катушкой, ЭДС оказывается равной именно циркуляции электрического поля, тогда как в системе отсчёта, связанной с источником магнитного поля (магнитом), происхождение ЭДС связано с действием силы Лоренца на движущиеся с первой катушкой носители заряда. Однако та и другая ЭДС обязаны совпадать, поскольку вольтметр показывает одну и ту же величину, независимо от того, для какой системы отсчёта мы её рассчитали.
Потенциальная форма[править | править код]
При выражении магнитного поля через векторный потенциал закон Фарадея принимает вид:
- E→=−∂A→∂t{\displaystyle {\vec {E}}=-{\partial {\vec {A}} \over \partial t}} (в случае отсутствия безвихревого поля, то есть тогда, когда электрическое поле порождается полностью только изменением магнитного, то есть электромагнитной индукцией).
В общем случае, при учёте и безвихревого (например, электростатического) поля имеем:
- E→=−∇φ−∂A→∂t{\displaystyle {\vec {E}}=-\nabla \varphi -{\partial {\vec {A}} \over \partial t}}
Подробнее
Поскольку вектор магнитной индукции по определению выражается через векторный потенциал так:
- B→=rot A→≡∇×A→,{\displaystyle {\vec {B}}=rot\ {\vec {A}}\equiv \nabla \times {\vec {A}},}
то можно подставить это выражение в
- rot E→≡∇×E→=−∂B→∂t,{\displaystyle rot\ {\vec {E}}\equiv \nabla \times {\vec {E}}=-{\frac {\partial {\vec {B}}}{\partial t}},}
получая
- ∇×E→=−∂(∇×A→)∂t,{\displaystyle \nabla \times {\vec {E}}=-{\frac {\partial (\nabla \times {\vec {A}})}{\partial t}},}
и, поменяв местами дифференцирование по времени и пространственным координатам (ротор):
- ∇×E→=−∇×∂A→∂t.{\displaystyle \nabla \times {\vec {E}}=-\nabla \times {\frac {\partial {\vec {A}}}{\partial t}}.}
Отсюда, поскольку ∇×E→{\displaystyle \nabla \times {\vec {E}}} полностью определяется правой частью последнего уравнения, видно, что вихревая часть электрического поля (та часть, которая имеет ротор, в отличие от безвихревого поля ∇φ{\displaystyle \nabla \varphi }) полностью определяется выражением
- −∂A→∂t.{\displaystyle -{\frac {\partial {\vec {A}}}{\partial t}}.}
То есть в случае отсутствия безвихревой части можно записать
- E→=−∂A→∂t,{\displaystyle {\vec {E}}=-{\frac {\partial {\vec {A}}}{\partial t}},}
а в общем случае
- E→=−∇φ−dA→dt.{\displaystyle {\vec {E}}=-\nabla \varphi -{\frac {d{\vec {A}}}{dt}}.}
В 1820 году Ганс Христиан Эрстед показал, что протекающий по цепи электрический ток вызывает отклонение магнитной стрелки. Если электрический ток порождает магнетизм, то с магнетизмом должно быть связано появление электрического тока. Эта мысль захватила английского ученого М. Фарадея. «Превратить магнетизм в электричество», — записал он в 1822 году в своём дневнике. Многие годы настойчиво ставил он различные опыты, но безуспешно, и только 29 августа 1831 года наступил триумф: он открыл явление электромагнитной индукции. Установка, на которой Фарадей сделал своё открытие, состояла из кольца из мягкого железа примерно 2 см шириной и 15 см диаметром. На каждой половине кольца было намотано много витков медной проволоки. Цепь одной обмотки замыкала проволока, в её витках находилась магнитная стрелка, удаленная настолько, чтобы не сказывалось действие магнетизма, созданного в кольце. Через вторую обмотку пропускался ток от батареи гальванических элементов. При включении тока магнитная стрелка совершала несколько колебаний и успокаивалась; когда ток прерывали, стрелка снова колебалась. Выяснилось, что стрелка отклонялась в одну сторону при включении тока и в другую, когда ток прерывался. М. Фарадей установил, что «превращать магнетизм в электричество» можно и с помощью обыкновенного магнита.
В это же время американский физик Джозеф Генри также успешно проводил опыты по индукции токов, но пока он собирался опубликовать результаты своих опытов, в печати появилось сообщение М. Фарадея об открытии им электромагнитной индукции.
М. Фарадей стремился использовать открытое им явление, чтобы получить новый источник электричества.
- ↑ Миллер М. А., Пермитин Г. В. Электромагнитная индукция // Физическая энциклопедия : [в 5 т.] / Гл. ред. А. М. Прохоров. — М.: Большая российская энциклопедия, 1999. — Т. 5: Стробоскопические приборы — Яркость. — С. 537—538. — 692 с. — 20 000 экз. — ISBN 5-85270-101-7.
- ↑ Faraday, Michael; Day, P. The philosopher’s tree: a selection of Michael Faraday’s writings (англ.). — CRC Press, 1999. — P. 71. — ISBN 978-0-7503-0570-9.
- ↑
Это уравнение Максвелла может быть переписано в эквивалентном виде
- ∮∂SE→⋅dl→=−∫S∂B→∂t⋅ds→{\displaystyle \oint _{\partial S}{\vec {E}}\cdot {\vec {dl}}=-\int _{S}{\frac {\partial {\vec {B}}}{\partial t}}\cdot {\vec {ds}}}
- ↑ М. Лившиц. Закон электромагнитной индукции или «правило потока»? // Квант. — 1998. — № 3. — С. 37—38.
- ↑ Такой отказ объясняется тем, что, в отличие от закона для циркуляции электрического поля, выполняющегося всегда, «правило» корректно работает лишь для случаев, когда контур, в котором вычисляется ЭДС, совпадает физически с проводником (то есть совпадает их движение; в противном же случае правило может не работать (самый известный пример — униполярная машина Фарадея; контур, который в этом случае трудно определить, но кажется довольно очевидным, что он не меняется; во всяком случае, довольно затруднительно указать разумное определение для контура, который бы в этом случае менялся), то есть проявляется парадокс, что для «закона природы» недопустимо.
41. Явление электромагнитной индукции. Закон электромагнитной индукции. Вихревое электрическое поле. Явление взаимной индукции.
Явление электромагнитной индукции.
Электромагнитная индукция — явление возникновения электрического тока в замкнутом контуре при изменении магнитного потока, проходящего через него. Электродвижущая сила, возникающая в замкнутом проводящем контуре, пропорциональна скорости изменения магнитного потока через поверхность, ограниченную этим контуром.Электрический ток, вызванный этой ЭДС, называется индукционным током.
Закон
электромагнитной индукции. При изменении магнитного потока в
проводящем контуре возникает ЭДС
индукции
,
равная скорости изменения магнитного
потока через поверхность, ограниченную
контуром, взятой со знаком минус:

Эта формула носит название закона Фарадея.
Вихревое электрическое поле.
Электрическое поле не связано непосредственно с электрическими зарядами, и его линии напряженности не могут на них начинаться и кончаться. Они вообще нигде не начинаются и не кончаются, а представляют собой замкнутые линии, подобныe линиям индукции магнитного поля. Это так называемое вихревое электрическое поле.

Направление
силовых линий напряженности
совпадает
с направлением индукционного тока..
Работа вихревого электрического поля
при перемещении единичного положительного
заряда вдоль замкнутого неподвижного
проводника численно равна ЭДС индукции
в этом проводнике.
Явление взаимной индукции. Взаимная индукция — возникновение электродвижущей силы (ЭДС индукции) в одном проводнике вследствие изменения силы тока в другом проводнике или вследствие изменения взаимного расположения проводников.
Направление тока, возникшего при взаимоиндукции, определяется по правилу Ленца. Правило указывает на то, что изменение тока в одной цепи (катушке) встречает противодействие со стороны другой цепи (катушки).
42. Явление самоиндукции. Индуктивность. Индуктивность соленоида. Работа перемещения проводника с током и контура с током в магнитном поле. Энергия магнитного поля соленоида.
Явление самоиндукции. В случае изменения тока в контуре в нем возникает ЭДС индукции. Это явление названо самоиндукцией.
Индуктивность. Если в пространстве, где находится контур с током I, нет ферромагнетиков, то магнитное поле, а значит и магнитный поток Ф через контур будут прямо пропорциональны току I. Тогда можно записать: Ф = LI.
L называется индуктивностью контура. По определению L > 0. Индуктивность L зависит от формы и размера контуров, а также от магнитных свойств окружающей среды. Единица измерения индуктивности – 1 Генри (Гн). 1 Гн – это индуктивность такого контура, у которого при токе 1 А магнитный поток равен 1 Веберу.
Индуктивность
соленоида. Рассмотрим
идеальный соленоид: длина его L
гораздо больше радиуса R.
В этом случае при пропускании через
соленоид тока I
внутри соленоида возникает однородное
магнитное поле с линиями индукции,
параллельными оси соленоида. Для
нахождения величины магнитного поля
воспользуемся теоремой о циркуляции
для
.
Получаем:
Hl
= nIl,
здесь n
– число витков на единицу длины соленоида.
Для магнитного поля B
= μμ0H
= μμ0nI.
Индуктивность соленоида можно теперь
определить по формуле:

В этой формуле V – объем соленоида.
Работа
перемещения проводника с током и контура
с током в магнитном поле. 
Работа, совершаемая при перемещении проводника с током в магнитном поле, определяется произведением силы тока, текущего по проводнику, на изменение магнитного потока. Работа по перемещению проводника с током совершается источником тока. Магнитное поле работу не совершает. Индукция магнитного поля в этом процессе не изменяется.
Энергия магнитного поля соленоида. Магнитное поле внутри соленоида однородно и сосредоточено внутри него, поэтому энергия заключена в объеме соленоида и имеет с ним однородное распределение с постоянной объемной плотностью.


в катушке препятствует нарастанию тока I: Л2 загорается позжеЛ1 (рис). (Резистор R уравновешивает сопротивление катушки L, чтобы лампочки горели с одинаковой яркостью).










