Касательная — это… Что такое Касательная?

График функции (чёрная кривая) и касательная прямая (красная прямая)
Каса́тельная пряма́я — прямая, проходящая через точку кривой и совпадающая с ней в этой точке с точностью до первого порядка.
Определение
Замечание
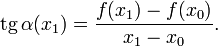
Прямо из определения следует, что график касательной прямой проходит через точку (x0,f(x0)). Угол α между касательной к кривой и осью Ох удовлетворяет уравнению
где
обозначает тангенс, а 
Касательная как предельное положение секущей

Пусть
и
Тогда прямая линия, проходящая через точки (x0,f(x0)) и (x1,f(x1)) задаётся уравнением
Эта прямая проходит через точку (x
0,f(x0)) для любого
и её угол наклона α(x1) удовлетворяет уравнениюВ силу существования производной функции f в точке x0, переходя к пределу при
получаем, что существует предел
а в силу непрерывности арктангенса и предельный угол
Прямая, проходящая через точку (x0,f(x0)) и имеющая предельный угол наклона, удовлетворяющий
задаётся уравнением касательной:
- y = f(x0) + f‘(x0)(x − x0).
Касательная к окружности

Отрезки касательных
Прямая, имеющая одну общую точку с окружностью и лежащая с ней в одной плоскости, называется касательной к окружности.
Свойства
- Касательная к окружности перпендикулярна к радиусу, проведённому в точку касания.
- Отрезки касательных к окружности, проведённые из одной точки, равны и составляют равные углы с прямой, проходящей через эту точку и центр окружности.
- Длина отрезка касательной, проведённой к окружности единичного радиуса, взятого между точкой касания и точкой пересечения касательной с радиусом, является тангенсом угла между этим радиусом и направлением от центра окружности на точку касания. «Тангенс» от лат. tangens — «касательная».
Вариации и обобщения
Односторонние полукасательные
- Если существует левая производная
то ле́вой полукаса́тельной к графику функции f в точке x0 называется луч
- Если существует бесконечная правая производная
то правой полукасательной к графику функции f в точке x0 называется луч
- Если существует бесконечная левая производная
то правой полукасательной к графику функции f в точке x0 называется луч
См. также
Wikimedia Foundation. 2010.
dic.academic.ru
Касательная прямая — это… Что такое Касательная прямая?
График функции (чёрная кривая) и касательная прямая (красная прямая)Каса́тельная пряма́я — прямая, проходящая через точку кривой и совпадающая с ней в этой точке с точностью до первого порядка.
Строгое определение
Замечание
Прямо из определения следует, что график касательной прямой проходит через точку . Угол между касательной к кривой и осью Ох удовлетворяет уравнению
где обозначает тангенс, а — коэффициент наклона касательной. Производная в точке равна угловому коэффициенту касательной к графику функции в этой точке.
Касательная как предельное положение секущей

Пусть и Тогда прямая линия, проходящая через точки и задаётся уравнением
Эта прямая проходит через точку для любого и её угол наклона удовлетворяет уравнению
В силу существования производной функции в точке переходя к пределу при получаем, что существует предел
а в силу непрерывности арктангенса и предельный угол
Прямая, проходящая через точку и имеющая предельный угол наклона, удовлетворяющий задаётся уравнением касательной:
Касательная к окружности
Отрезки касательныхПрямая, имеющая одну общую точку с окружностью и лежащая с ней в одной плоскости, называется касательной к окружности.
Свойства
- Касательная к окружности перпендикулярна к радиусу, проведённому в точку касания.
- Отрезки касательных к окружности, проведённые из одной точки, равны и составляют равные углы с прямой, проходящей через эту точку и центр окружности.
- Длина отрезка касательной, проведённой к окружности единичного радиуса, взятого между точкой касания и точкой пересечения касательной с радиусом, является тангенсом угла между этим радиусом и направлением от центра окружности на точку касания. «Тангенс» от лат. tangens — «касательная».
Вариации и обобщения
Односторонние полукасательные
- Если существует бесконечная правая производная то правой полукасательной к графику функции в точке называется луч
- Если существует бесконечная левая производная то правой полукасательной к графику функции в точке называется луч
См. также
Литература
dic.academic.ru
37. Точки перегиба. Критерий. Касательная в точке перегиба.
Опр.Точка 
называетсяточкой перегибаэтого
графика, если существует такая окрестность
точкисоси абсцисс, в пределах
которой график функции
слева и справа отсимеет разные
направления выпуклости. Иногда при определении точки перегиба
графика функции
дополнительно требуют, чтобы этот график
всюду в пределах достаточно малой
окрестности точки с оси абсцисс слева
и справа от с лежал по разные стороны
от касательной к этому графику в точке
.
Точки отделяющие выпуклую вверх часть кривой от выпуклой вниз (или наоборот) называются точками перегиба, в точках перегиба касательная пересекает кривую.
Th. Если ф-яy=f(x) во всех точках (a;b) имеет отрицательную вторую производную т.е.fII<0, то график ф-ии на этом интервале выпуклый вверх. ЕслиfII>0, то он выпуклый вниз.
Достаточное условие существования точек перегиба.
Если fII(x) при переходе черезx0в которой она равна 0 или не существует, меняет знак то точка графика с абсциссойx0есть точка перегиба.
ПРИМЕР:
y
=x5-x+5
yI=5x 4-1
yII=20x3
20x3=0
x=0
График выпуклый вверх в интервале (-;0), график вогнутый на (0; +), (0;5) – точка перегиба.
Th. (необх. усл-е сущ-е точки перегиба). Если в точке есть перегиб у дважды дифф-й ф-ции, тоf”(c)=0/
f”(c)-не полож-е, не отриц-е, значит 0
f(x)=x4
c=0
f”(x)=12x2
f”(c)-усл-е необх-е, но не дост-е.
(дост. усл. т. перегиба) Если ф-ция дважды дифф-ма в окр т.с, то с-точка перегиба, меняет знак.
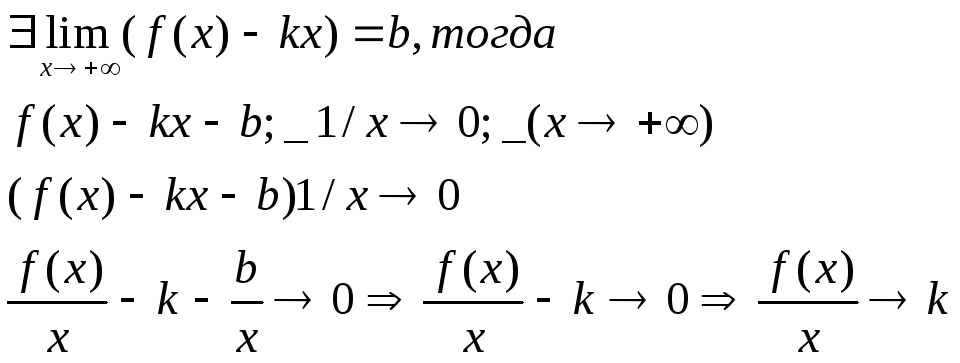
38. Вертикальные и наклонные асимптоты графика функции.
Определение наклонной асимптоты к графику функции.
Опр.Говорят, что прямая
(1)
является наклонной асимптотойграфика функции
при
,
если функцияf(x)
представима в виде
,
где
(2)
Опр. Говорят, что прямая x = a является
вертикальной асимптотой графика функции
,
если хотя бы одно из предельных значений
или
равно + или
—.
Опр. Часть графика называется бесконечной ветвью если при движении точки по этой части, расстояние между ей и началом координат стремится к бесконечности.
Опр.Прямая называется асимптотой бесконечной ветви графика функции, если при удалении точки от начала координат по этой ветви, расстояние до данной прямой стремится к нулю.
Теорема 1:x=a(вертикальная прямая) – является асимптотой для бесконечно вертикальной ветви графика функцииy=f(x), тогда когдаf(x), приxa.
Т
еорема
2:Критерий существования
наклонной асимптоты прямаяy=kx+bявляется асимптотой для правой (левой)
ветви графика функции тогда, когда
существует предел при :

Док-во:ТочкаM0(x0,y0) и прямая
L:Ax+By+Cz=0, то расстояние

П
устьy=kx+b
асимптота =>
d(M,l)0=>
kx-f(x)+b0
тогда f(x)-kxb
при x+
существует предел:

Теорема: Необходимый признак существования наклонной асимптоты.Если прямаяl:y=kx+b
н
аклонная
асимп. для правой наклонной ветви, то:
Док-во:

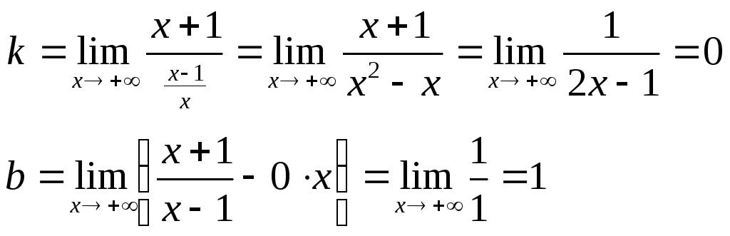
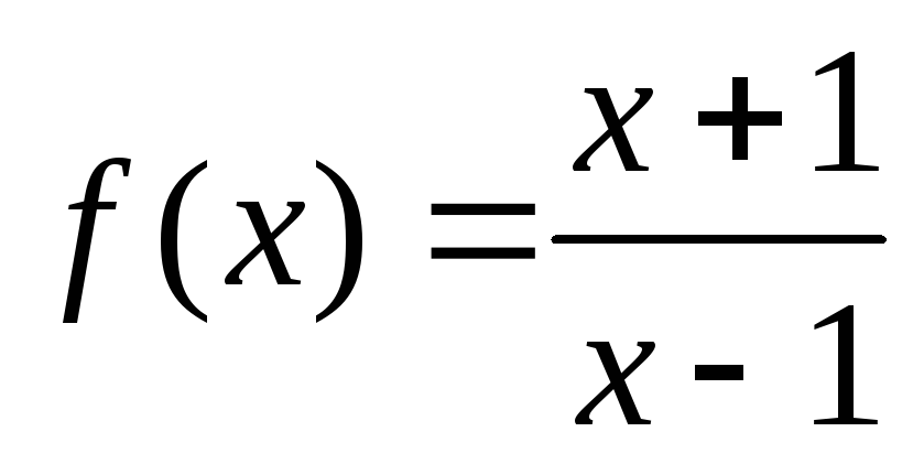
П
ример:
x=1 – верт. Асимптота, т.к.
f(x), когдаx1


Вывод:y=0y+1 – наклонная асимптота для левой и правой ветви.
Для отыскания вертикальной асимптоты нужно найти х вблизи которого функция f(x) возрастает по модулю. Обычно это точки разрыва второго рода.
Если хотя бы один из этих пределов не существует, то кривая асимптоты не имеет. Если k=0,bимеет конечное значение, то асимптота наз-ся горизонтальной.
studfile.net
касательная к кривой — это… Что такое касательная к кривой?
- касательная к кривой
- мат. tangent to curve
Большой англо-русский и русско-английский словарь. 2001.
- касательная дуга
- касательная к окружности
Смотреть что такое «касательная к кривой» в других словарях:
Касательная к кривой — График функции (чёрная кривая) и касательная прямая (красная прямая) Касательная прямая прямая, проходящая через точку кривой и совпадающая с ней в этой точке с точностью до первого порядка. Содержание 1 Определение 2 Замечание … Википедия
КАСАТЕЛЬНАЯ К КРИВОЙ ЛИНИИ — (см. рис.) предельное положение (см.), проходящей через данную точку кривой М и другую М, стремящуюся к ней точку кривой. (N нормаль к предельному положению секущей.) … Большая политехническая энциклопедия
Касательная — Касательная. КАСАТЕЛЬНАЯ прямая к кривой l в точке M, предельное положение MT, к которому стремится секущая MM’ при приближении точки M’ к точке M. … Иллюстрированный энциклопедический словарь
Касательная — прямая, с которою стремится совпасть секущая,проведенная через две точки на произвольной кривой, по мере сближенияэтих точек. Математическая теория К. имеет весьма важное значение.Точка, через которую к кривой линии проведена К., называется… … Энциклопедия Брокгауза и Ефрона
КАСАТЕЛЬНАЯ — прямая к кривой L в точке M предельное положение (на рисунке MT), к которому стремится секущая ММ? при приближении точки М? к точке М … Большой Энциклопедический словарь
КАСАТЕЛЬНАЯ — КАСАТЕЛЬНАЯ, касательной, жен. (мат.). Прямая линия, имеющая одну общую точку с кривой. Провести касательную к кругу. Толковый словарь Ушакова. Д.Н. Ушаков. 1935 1940 … Толковый словарь Ушакова
Касательная плоскость — Пример простой поверхности Поверхность традиционное название для двумерного многообразия в пространстве. Поверхности определяется как множество точек, координаты которых удовлетворяют определённому виду уравнений: Если функция непрерывна в… … Википедия
Касательная — к кривой линии, предельное положение секущей. К. определяется так. Пусть М точка кривой L (рис. 1). Выберем на L вторую точку M и проведём прямую MM . Будем считать М неподвижной, а точку M приближать к М по кривой L. Если при… … Большая советская энциклопедия
Касательная прямая — График функции (чёрная кривая) и касательная прямая (красная прямая) Касательная прямая прямая, проходящая через точку кривой и совпадающая с ней в этой точке с точностью … Википедия
Касательная — График функции (чёрная кривая) и касательная прямая (красная прямая) Касательная прямая прямая, проходящая через точку кривой и совпадающая с ней в этой точке с точностью до первого порядка. Содержание 1 Определение 2 Замечание … Википедия
касательная — ой; ж. Матем. Прямая, имеющая общую точку с кривой, но не пересекающая её. Провести касательную к окружности. * * * касательная прямая к кривой L в точке М, предельное положение (на рисунке МТ), к которому стремится секущая ММ при приближении… … Энциклопедический словарь
dic.academic.ru






то ле́вой полукаса́тельной к графику функции f в точке x0 называется луч
то правой полукасательной к графику функции f в точке x0 называется луч
то правой полукасательной к графику функции f в точке x0 называется луч